mp-772158/Ba2LaI7/anharm

Harmonic properties

../../_images/fig_bandos_pr2543.png

(a) Phonon dispersion with participation ratio and DOS

../../_images/fig_thermo2543.png

(b) Thermodynamic properties

Grüneisen parameters

../../_images/fig_gru_all1308.png

(a) Grüneisen parameters

../../_images/fig_gruneisen1308.png

(b) Phonon dispersion with Grüneisen parameters

Thermal conductivity

3-phonon (LASSO) — q-mesh: 7x6x4, supercell: 2x1x1

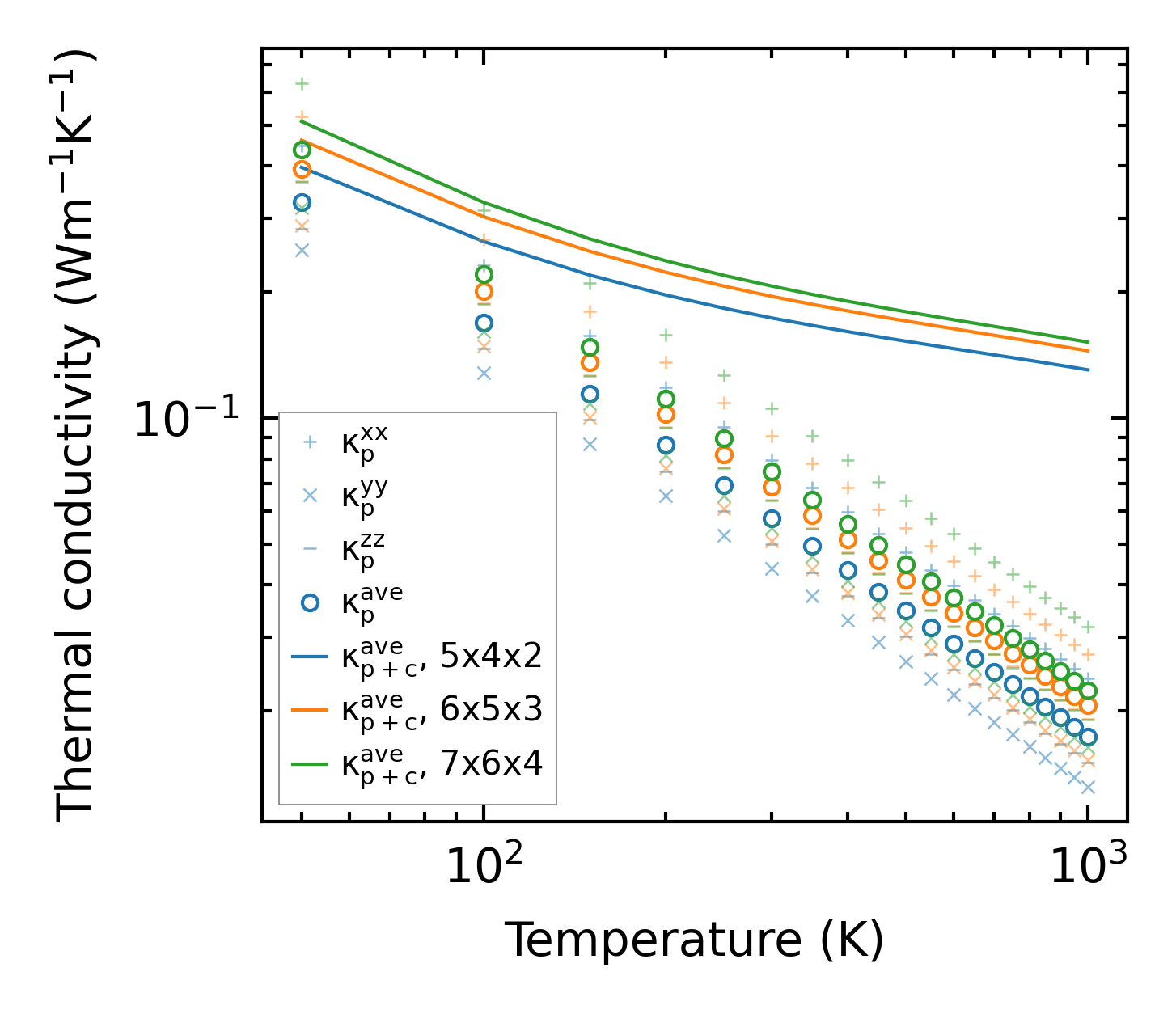
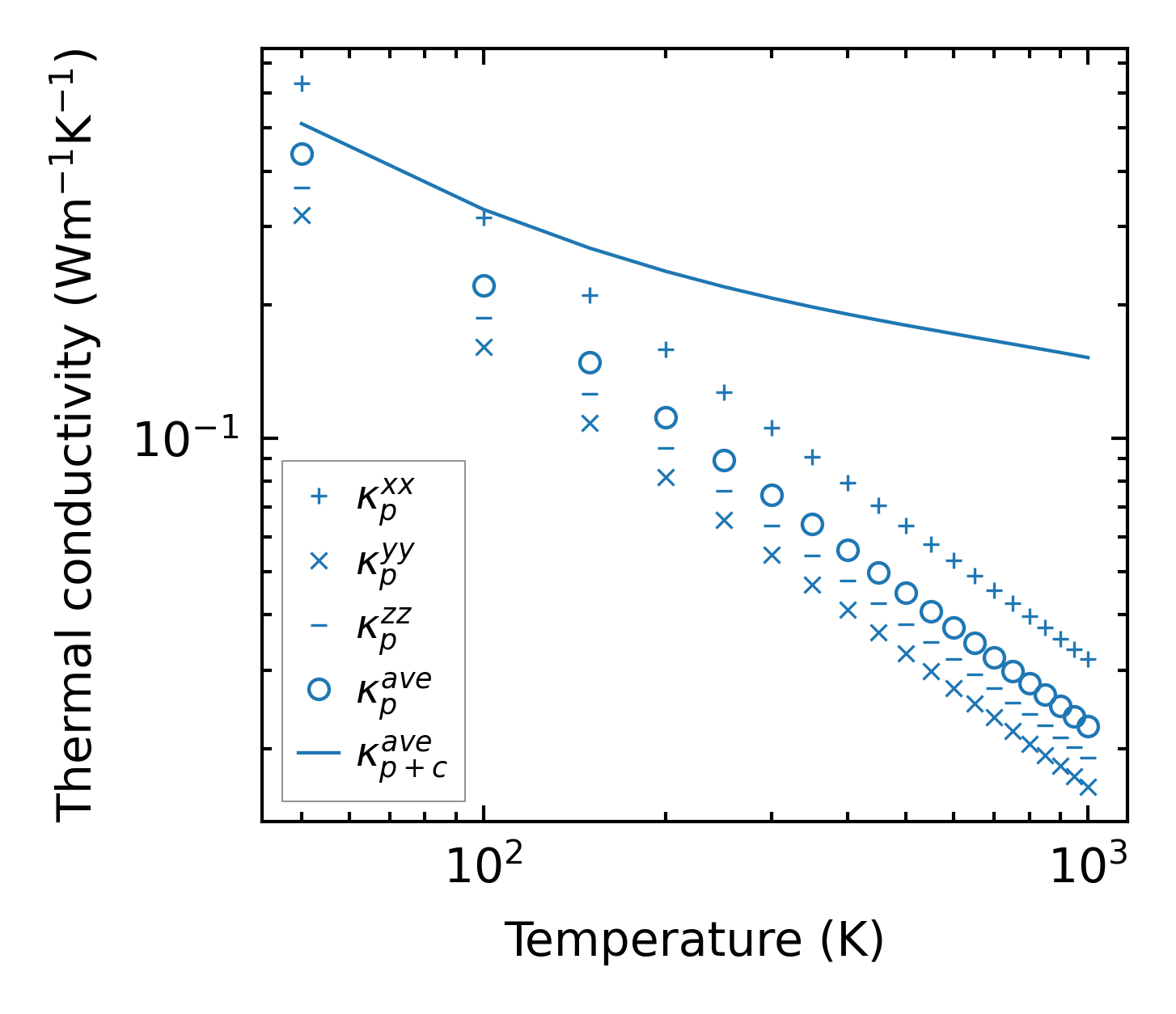
../../_images/fig_kappa2517.png

(a) Temperature-dependent lattice thermal conductivity

../../_images/fig_kappa_vs_grain_size1324.png

(b) Peierls lattice thermal conductivity w.r.t grain size

Phonon lifetime and scattering rates

../../_images/fig_lifetime1298.png

(a) Phonon lifetime due to phonon-phonon scattering

../../_images/fig_scat_rates1297.png

(b) Phonon scattering rates

Cumulative and spectral thermal conductivity

../../_images/fig_cumu_frequency1298.png

(a) Spectral and cumulative thermal conductivity w.r.t frequency

../../_images/fig_cumu_mfp1298.png

(b) Spectral and cumulative thermal conductivity w.r.t MFP

Force constants

../../_images/fig_fc22364.png

(a) Force constants w.r.t atomic distance

Summary

../../_images/fig_kappa2518.png

(a) Temperature-dependent lattice thermal conductivity

../../_images/fig_times4213.png

(b) Computation time