mp-772813/Ca2Cu2O5/anharm

Harmonic properties

../../_images/fig_bandos_pr2593.png

(a) Phonon dispersion with participation ratio and DOS

../../_images/fig_thermo2593.png

(b) Thermodynamic properties

Grüneisen parameters

../../_images/fig_gru_all1319.png

(a) Grüneisen parameters

../../_images/fig_gruneisen1319.png

(b) Phonon dispersion with Grüneisen parameters

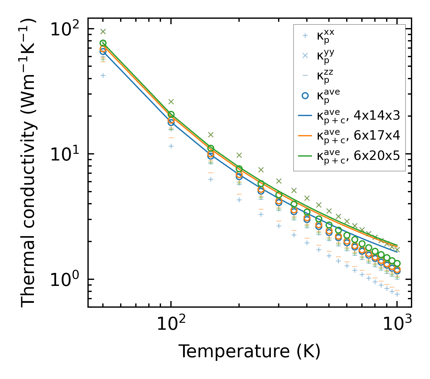
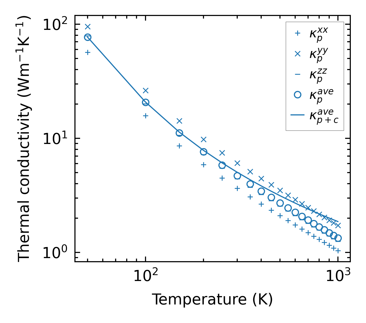
Thermal conductivity

3-phonon (LASSO) — q-mesh: 6x20x5, supercell: 1x3x1

../../_images/fig_kappa2539.png

(a) Temperature-dependent lattice thermal conductivity

../../_images/fig_kappa_vs_grain_size1335.png

(b) Peierls lattice thermal conductivity w.r.t grain size

Phonon lifetime and scattering rates

../../_images/fig_lifetime1309.png

(a) Phonon lifetime due to phonon-phonon scattering

../../_images/fig_scat_rates1308.png

(b) Phonon scattering rates

Cumulative and spectral thermal conductivity

../../_images/fig_cumu_frequency1309.png

(a) Spectral and cumulative thermal conductivity w.r.t frequency

../../_images/fig_cumu_mfp1309.png

(b) Spectral and cumulative thermal conductivity w.r.t MFP

Force constants

../../_images/fig_fc22414.png

(a) Force constants w.r.t atomic distance

Summary

../../_images/fig_kappa2540.png

(a) Temperature-dependent lattice thermal conductivity

../../_images/fig_times4312.png

(b) Computation time