mp-772077-2/BaYI5/anharm

Harmonic properties

../../_images/fig_bandos_pr2529.png

(a) Phonon dispersion with participation ratio and DOS

../../_images/fig_thermo2529.png

(b) Thermodynamic properties

Grüneisen parameters

../../_images/fig_gru_all1300.png

(a) Grüneisen parameters

../../_images/fig_gruneisen1300.png

(b) Phonon dispersion with Grüneisen parameters

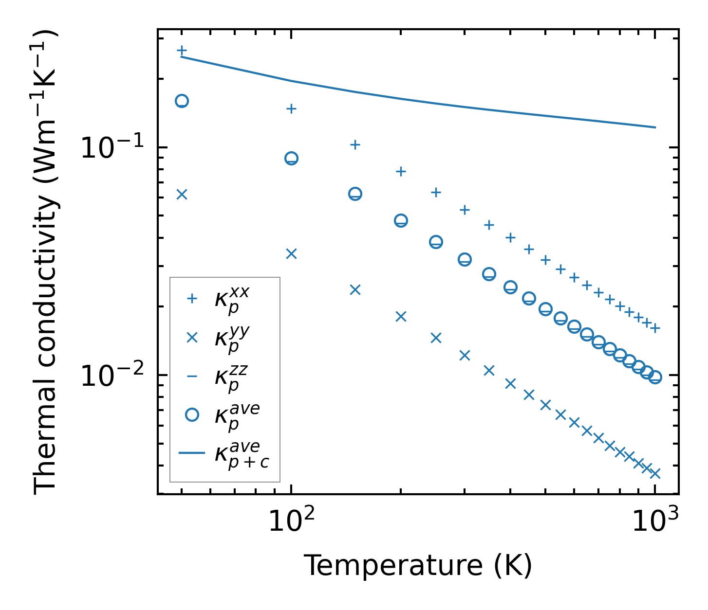
Thermal conductivity

3-phonon (LASSO) — q-mesh: 9x2x5, supercell: 2x1x1

../../_images/fig_kappa2501.png

(a) Temperature-dependent lattice thermal conductivity

../../_images/fig_kappa_vs_grain_size1316.png

(b) Peierls lattice thermal conductivity w.r.t grain size

Phonon lifetime and scattering rates

../../_images/fig_lifetime1290.png

(a) Phonon lifetime due to phonon-phonon scattering

../../_images/fig_scat_rates1289.png

(b) Phonon scattering rates

Cumulative and spectral thermal conductivity

../../_images/fig_cumu_frequency1290.png

(a) Spectral and cumulative thermal conductivity w.r.t frequency

../../_images/fig_cumu_mfp1290.png

(b) Spectral and cumulative thermal conductivity w.r.t MFP

Force constants

../../_images/fig_fc22350.png

(a) Force constants w.r.t atomic distance

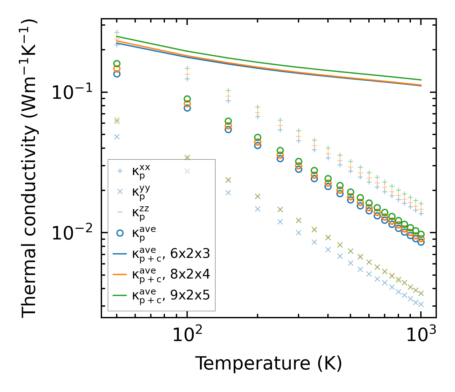
Summary

../../_images/fig_kappa2502.png

(a) Temperature-dependent lattice thermal conductivity

../../_images/fig_times4193.png

(b) Computation time