mp-772125/NbPO5/anharm

Harmonic properties

../../_images/fig_bandos_pr2539.png

(a) Phonon dispersion with participation ratio and DOS

../../_images/fig_thermo2539.png

(b) Thermodynamic properties

Grüneisen parameters

../../_images/fig_gru_all1306.png

(a) Grüneisen parameters

../../_images/fig_gruneisen1306.png

(b) Phonon dispersion with Grüneisen parameters

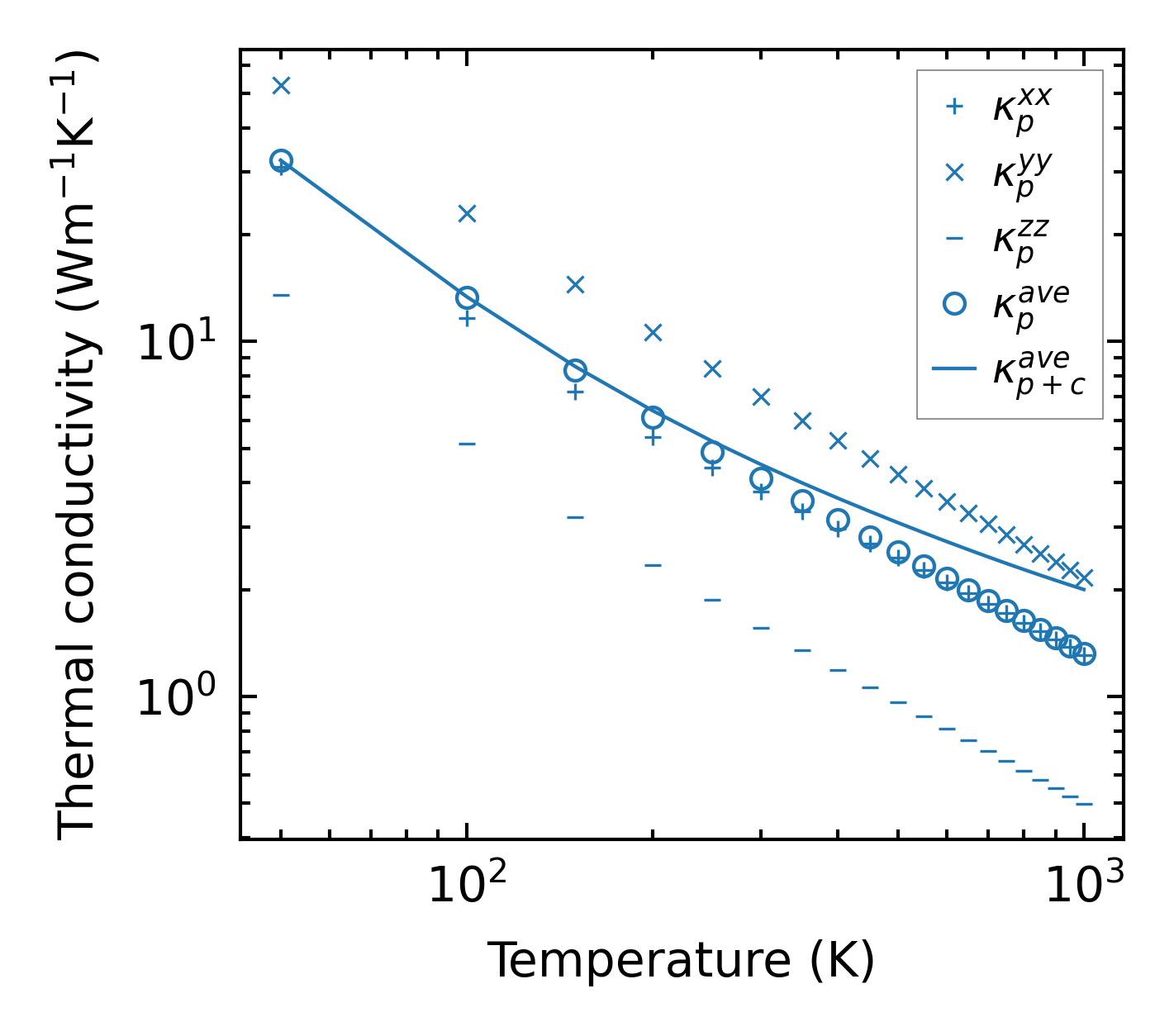
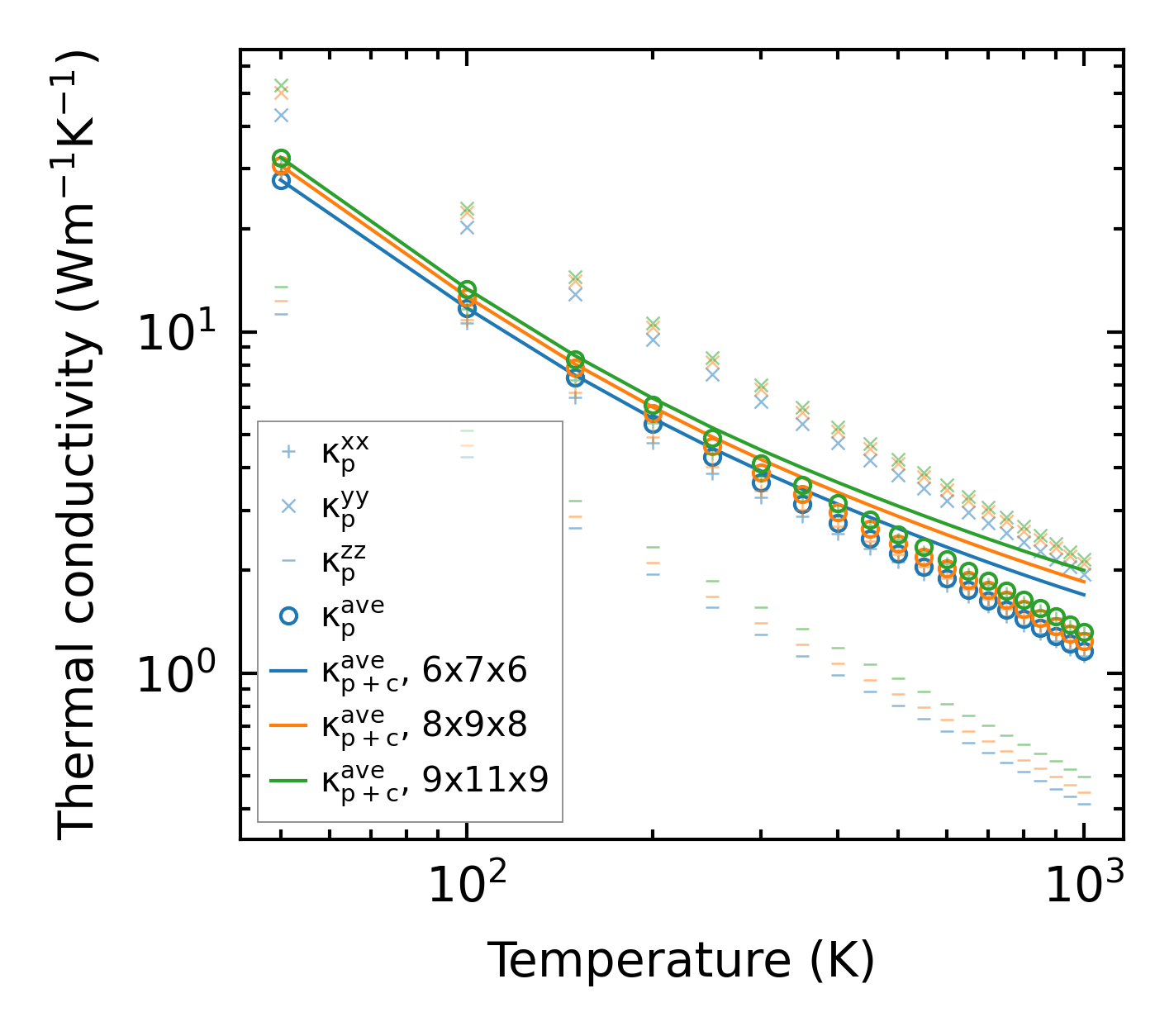
Thermal conductivity

3-phonon (LASSO) — q-mesh: 9x11x9, supercell: 1x2x2

../../_images/fig_kappa2513.png

(a) Temperature-dependent lattice thermal conductivity

../../_images/fig_kappa_vs_grain_size1322.png

(b) Peierls lattice thermal conductivity w.r.t grain size

Phonon lifetime and scattering rates

../../_images/fig_lifetime1296.png

(a) Phonon lifetime due to phonon-phonon scattering

../../_images/fig_scat_rates1295.png

(b) Phonon scattering rates

Cumulative and spectral thermal conductivity

../../_images/fig_cumu_frequency1296.png

(a) Spectral and cumulative thermal conductivity w.r.t frequency

../../_images/fig_cumu_mfp1296.png

(b) Spectral and cumulative thermal conductivity w.r.t MFP

Force constants

../../_images/fig_fc22360.png

(a) Force constants w.r.t atomic distance

Summary

../../_images/fig_kappa2514.png

(a) Temperature-dependent lattice thermal conductivity

../../_images/fig_times4207.png

(b) Computation time