mp-772077-3/BaYI5/anharm

Harmonic properties

../../_images/fig_bandos_pr2530.png

(a) Phonon dispersion with participation ratio and DOS

../../_images/fig_thermo2530.png

(b) Thermodynamic properties

Grüneisen parameters

../../_images/fig_gru_all1301.png

(a) Grüneisen parameters

../../_images/fig_gruneisen1301.png

(b) Phonon dispersion with Grüneisen parameters

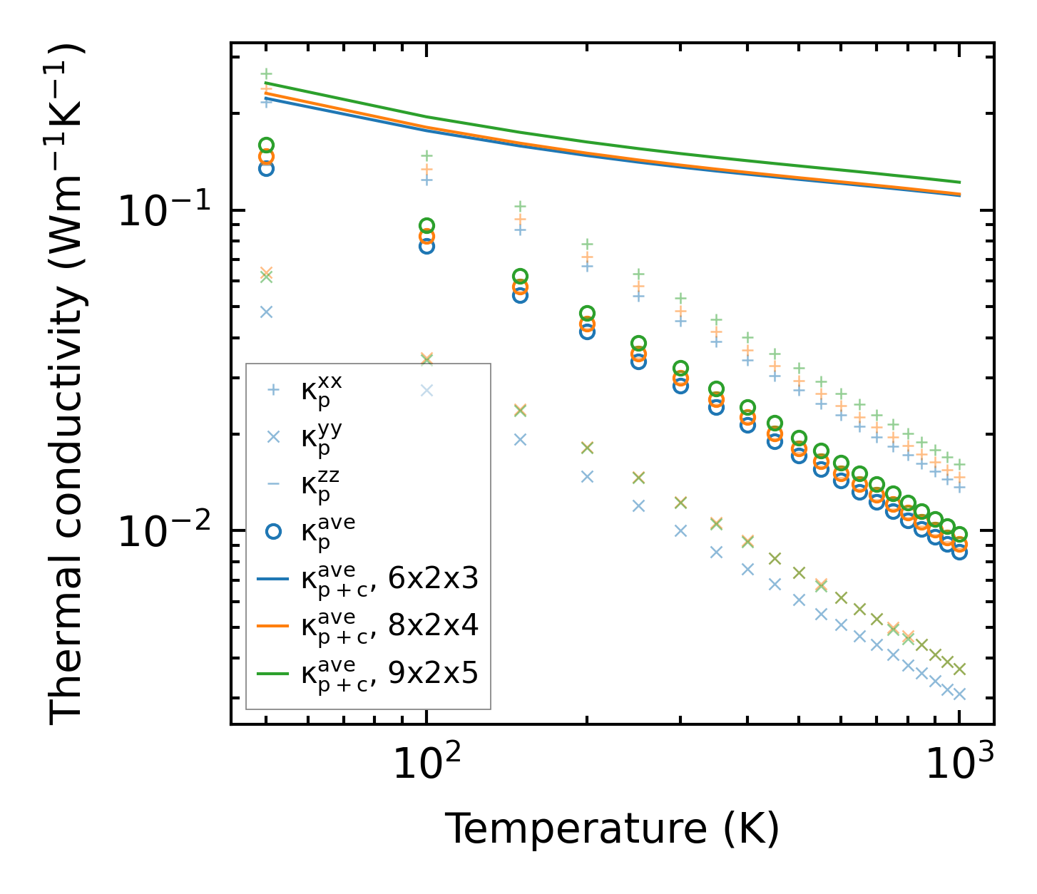
Thermal conductivity

3-phonon (LASSO) — q-mesh: 9x2x5, supercell: 2x1x1

../../_images/fig_kappa2503.png

(a) Temperature-dependent lattice thermal conductivity

../../_images/fig_kappa_vs_grain_size1317.png

(b) Peierls lattice thermal conductivity w.r.t grain size

Phonon lifetime and scattering rates

../../_images/fig_lifetime1291.png

(a) Phonon lifetime due to phonon-phonon scattering

../../_images/fig_scat_rates1290.png

(b) Phonon scattering rates

Cumulative and spectral thermal conductivity

../../_images/fig_cumu_frequency1291.png

(a) Spectral and cumulative thermal conductivity w.r.t frequency

../../_images/fig_cumu_mfp1291.png

(b) Spectral and cumulative thermal conductivity w.r.t MFP

Force constants

../../_images/fig_fc22351.png

(a) Force constants w.r.t atomic distance

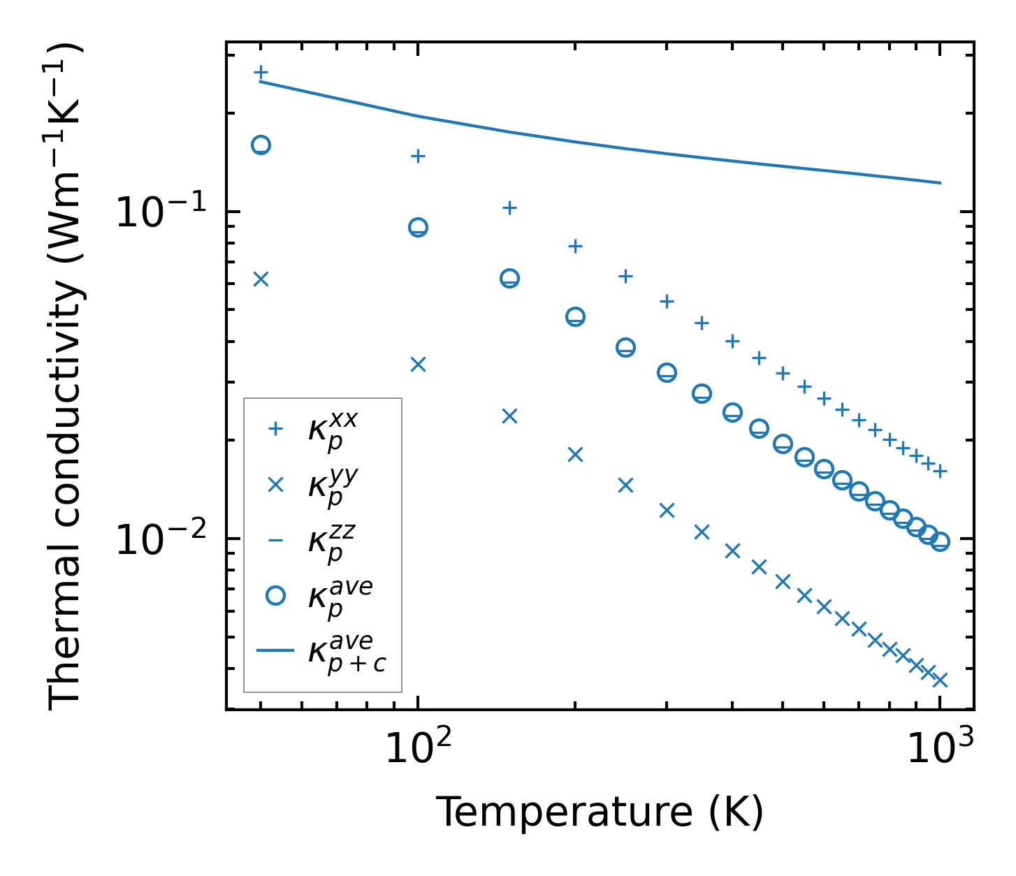
Summary

../../_images/fig_kappa2504.png

(a) Temperature-dependent lattice thermal conductivity

../../_images/fig_times4194.png

(b) Computation time