mp-697873/SnHC2O3/harm

Harmonic properties

../../_images/fig_bandos_pr4696.png

(a) Phonon dispersion with participation ratio and DOS

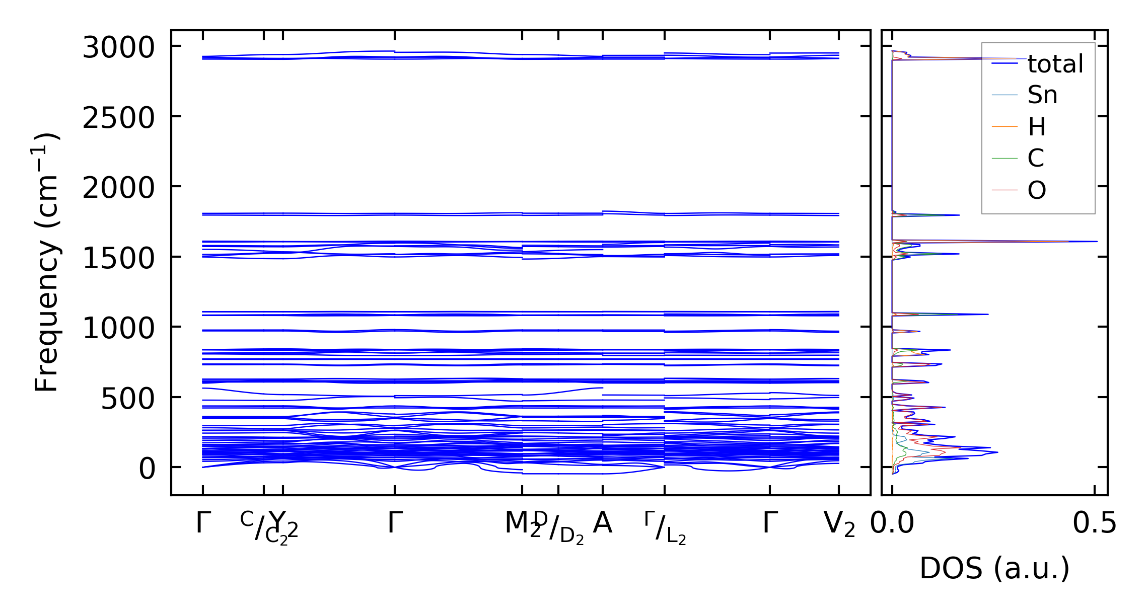
../../_images/fig_bandos6520.png

(b) Phonon dispersion and DOS

../../_images/fig_thermo4696.png

(c) Thermodynamic properties

Force constants

../../_images/fig_fc24507.png

(a) Force constants w.r.t atomic distance

Summary

../../_images/fig_times8325.png

(a) Computation time