mp-697038/Ba2H6Ru/anharm

Harmonic properties

../../_images/fig_bandos_pr4949.png

(a) Phonon dispersion with participation ratio and DOS

../../_images/fig_thermo4949.png

(b) Thermodynamic properties

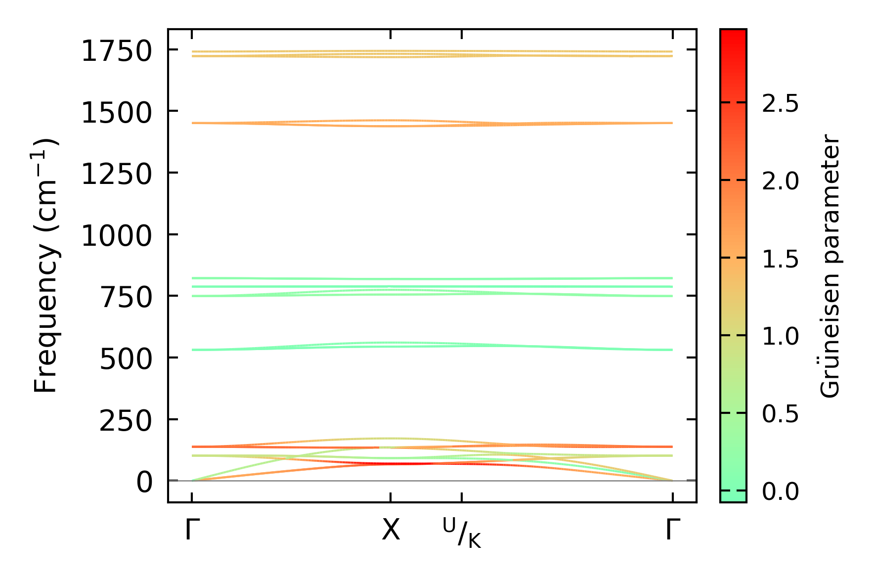
Grüneisen parameters

../../_images/fig_gru_all2105.png

(a) Grüneisen parameters

../../_images/fig_gruneisen2105.png

(b) Phonon dispersion with Grüneisen parameters

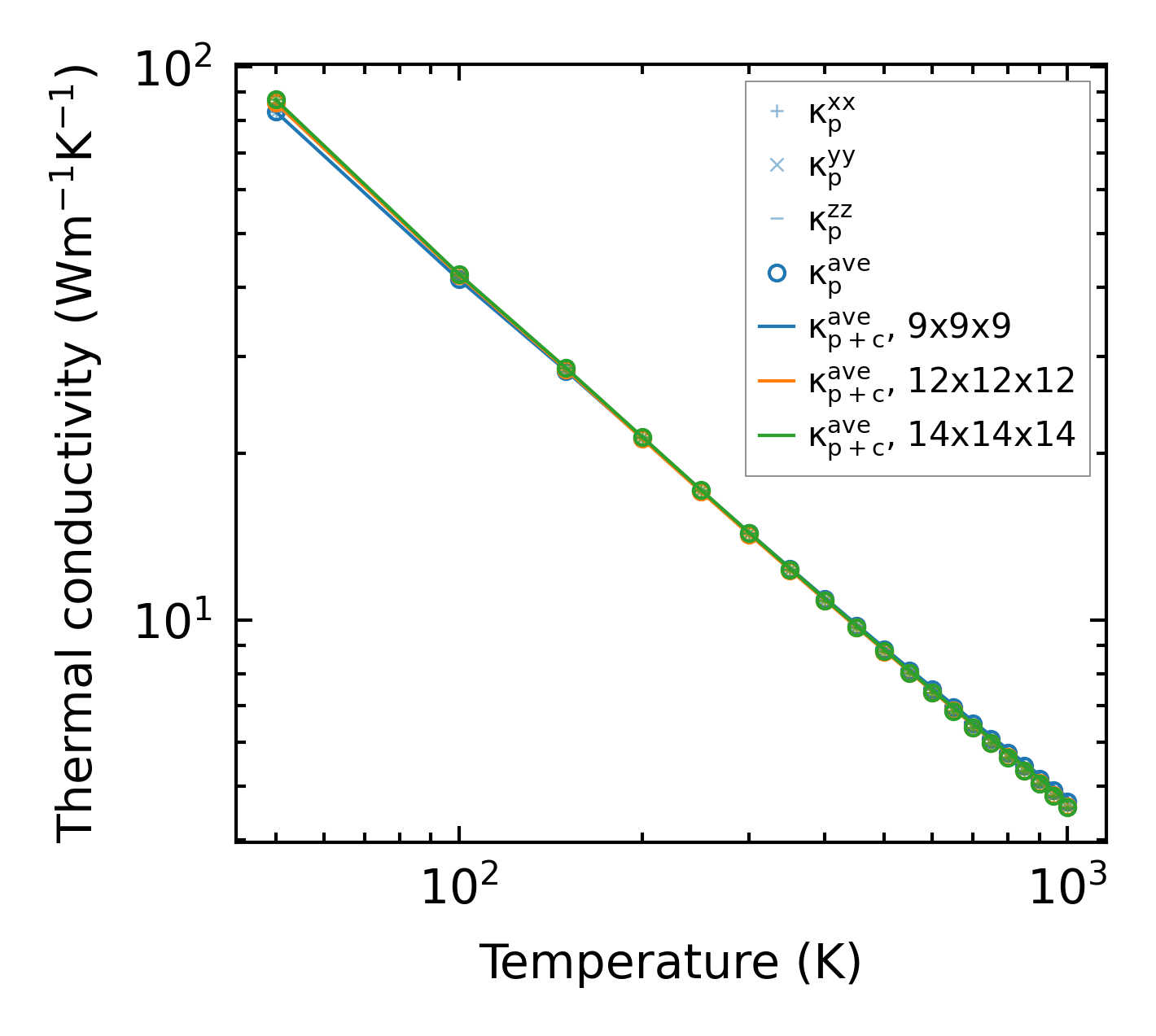
Thermal conductivity

3-phonon — q-mesh: 14x14x14, supercell: 1x1x1

../../_images/fig_kappa4037.png

(a) Temperature-dependent lattice thermal conductivity

../../_images/fig_kappa_vs_grain_size2137.png

(b) Peierls lattice thermal conductivity w.r.t grain size

Phonon lifetime and scattering rates

../../_images/fig_lifetime2092.png

(a) Phonon lifetime due to phonon-phonon scattering

../../_images/fig_scat_rates2091.png

(b) Phonon scattering rates

Cumulative and spectral thermal conductivity

../../_images/fig_cumu_frequency2092.png

(a) Spectral and cumulative thermal conductivity w.r.t frequency

../../_images/fig_cumu_mfp2092.png

(b) Spectral and cumulative thermal conductivity w.r.t MFP

Force constants

../../_images/fig_fc3191.png

(a) Force constants w.r.t atomic distance

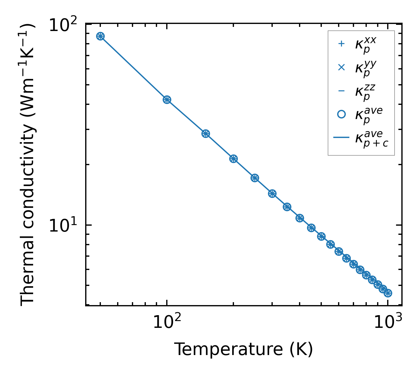
Summary

../../_images/fig_kappa4038.png

(a) Temperature-dependent lattice thermal conductivity

../../_images/fig_times8778.png

(b) Computation time