mp-697181-2/CsLi2H3O3/anharm

Equation of state

../../_images/fig_bm2333.png

(a) Equation of state

Harmonic properties

../../_images/fig_bandos_pr4677.png

(a) Phonon dispersion with participation ratio and DOS

../../_images/fig_thermo4677.png

(b) Thermodynamic properties

Grüneisen parameters

../../_images/fig_gru_all2031.png

(a) Grüneisen parameters

../../_images/fig_gruneisen2031.png

(b) Phonon dispersion with Grüneisen parameters

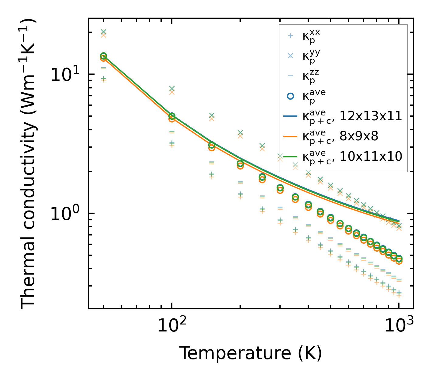
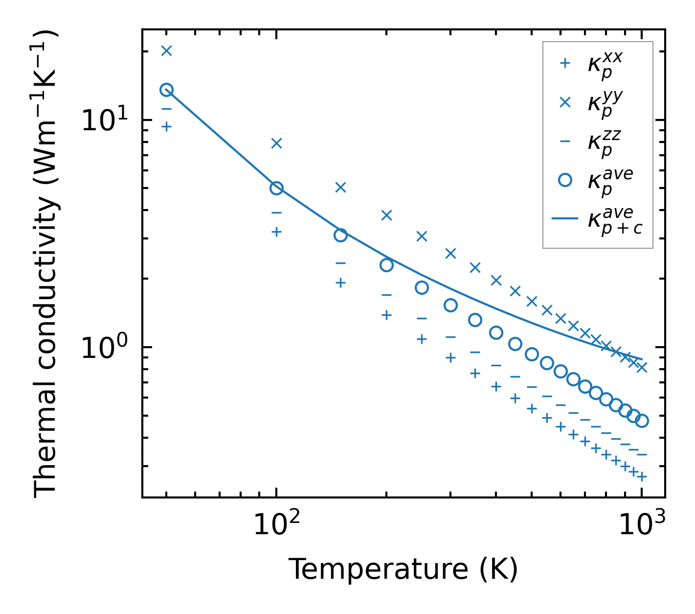
Thermal conductivity

3-phonon (LASSO) — q-mesh: 12x13x11, supercell: 2x2x2

../../_images/fig_kappa3891.png

(a) Temperature-dependent lattice thermal conductivity

../../_images/fig_kappa_vs_grain_size2060.png

(b) Peierls lattice thermal conductivity w.r.t grain size

Phonon lifetime and scattering rates

../../_images/fig_lifetime2018.png

(a) Phonon lifetime due to phonon-phonon scattering

../../_images/fig_scat_rates2017.png

(b) Phonon scattering rates

Cumulative and spectral thermal conductivity

../../_images/fig_cumu_frequency2018.png

(a) Spectral and cumulative thermal conductivity w.r.t frequency

../../_images/fig_cumu_mfp2018.png

(b) Spectral and cumulative thermal conductivity w.r.t MFP

Force constants

../../_images/fig_fc24488.png

(a) Force constants w.r.t atomic distance

Summary

../../_images/fig_kappa3892.png

(a) Temperature-dependent lattice thermal conductivity

../../_images/fig_times8281.png

(b) Computation time