mp-697331-2/Mg2NiH4/anharm

Equation of state

../../_images/fig_bm2336.png

(a) Equation of state

Harmonic properties

../../_images/fig_bandos_pr4687.png

(a) Phonon dispersion with participation ratio and DOS

../../_images/fig_thermo4687.png

(b) Thermodynamic properties

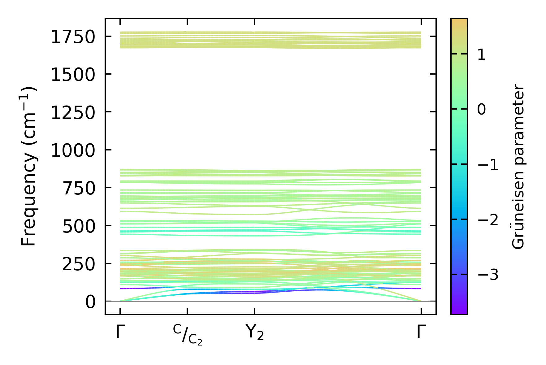
Grüneisen parameters

../../_images/fig_gru_all2034.png

(a) Grüneisen parameters

../../_images/fig_gruneisen2034.png

(b) Phonon dispersion with Grüneisen parameters

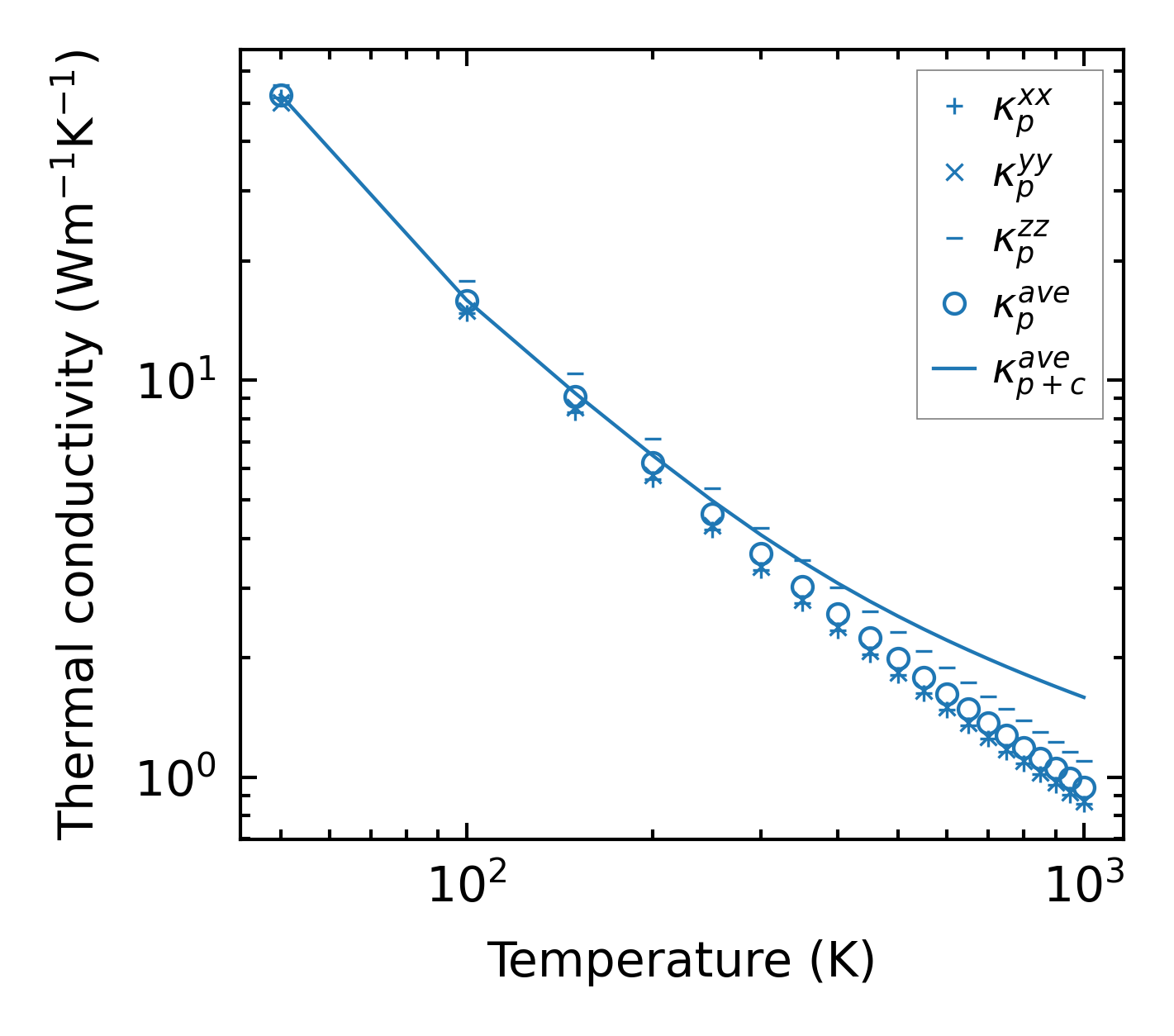
Thermal conductivity

3-phonon (LASSO) — q-mesh: 10x10x12, supercell: 1x2x1

../../_images/fig_kappa3897.png

(a) Temperature-dependent lattice thermal conductivity

../../_images/fig_kappa_vs_grain_size2063.png

(b) Peierls lattice thermal conductivity w.r.t grain size

Phonon lifetime and scattering rates

../../_images/fig_lifetime2021.png

(a) Phonon lifetime due to phonon-phonon scattering

../../_images/fig_scat_rates2020.png

(b) Phonon scattering rates

Cumulative and spectral thermal conductivity

../../_images/fig_cumu_frequency2021.png

(a) Spectral and cumulative thermal conductivity w.r.t frequency

../../_images/fig_cumu_mfp2021.png

(b) Spectral and cumulative thermal conductivity w.r.t MFP

Force constants

../../_images/fig_fc24498.png

(a) Force constants w.r.t atomic distance

Summary

../../_images/fig_kappa3898.png

(a) Temperature-dependent lattice thermal conductivity

../../_images/fig_times8300.png

(b) Computation time