mp-697170/MgH6Br2N2/anharm

Equation of state

../../_images/fig_bm2332.png

(a) Equation of state

Harmonic properties

../../_images/fig_bandos_pr4675.png

(a) Phonon dispersion with participation ratio and DOS

../../_images/fig_thermo4675.png

(b) Thermodynamic properties

Grüneisen parameters

../../_images/fig_gru_all2029.png

(a) Grüneisen parameters

../../_images/fig_gruneisen2029.png

(b) Phonon dispersion with Grüneisen parameters

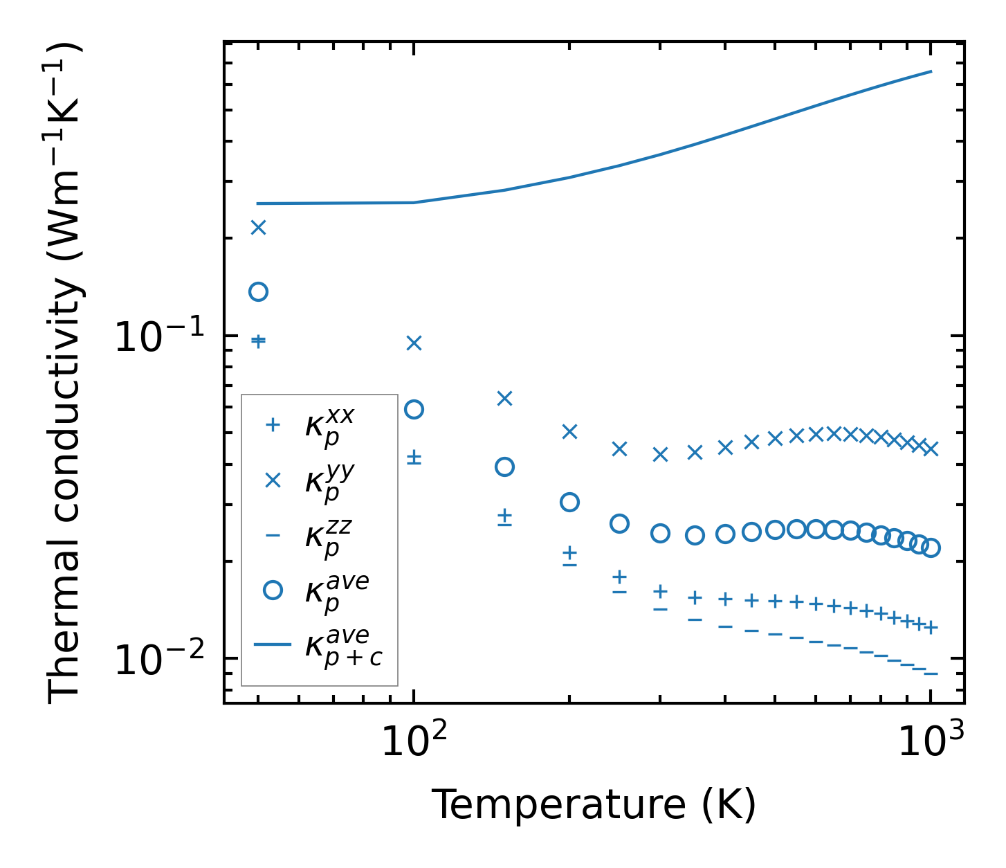
Thermal conductivity

3-phonon (LASSO) — q-mesh: 12x9x6, supercell: 2x1x1

../../_images/fig_kappa3887.png

(a) Temperature-dependent lattice thermal conductivity

../../_images/fig_kappa_vs_grain_size2058.png

(b) Peierls lattice thermal conductivity w.r.t grain size

Phonon lifetime and scattering rates

../../_images/fig_lifetime2016.png

(a) Phonon lifetime due to phonon-phonon scattering

../../_images/fig_scat_rates2015.png

(b) Phonon scattering rates

Cumulative and spectral thermal conductivity

../../_images/fig_cumu_frequency2016.png

(a) Spectral and cumulative thermal conductivity w.r.t frequency

../../_images/fig_cumu_mfp2016.png

(b) Spectral and cumulative thermal conductivity w.r.t MFP

Force constants

../../_images/fig_fc24486.png

(a) Force constants w.r.t atomic distance

Summary

../../_images/fig_kappa3888.png

(a) Temperature-dependent lattice thermal conductivity

../../_images/fig_times8279.png

(b) Computation time