mp-697144-2/RbH2N/anharm

Equation of state

../../_images/fig_bm2329.png

(a) Equation of state

Harmonic properties

../../_images/fig_bandos_pr4670.png

(a) Phonon dispersion with participation ratio and DOS

../../_images/fig_thermo4670.png

(b) Thermodynamic properties

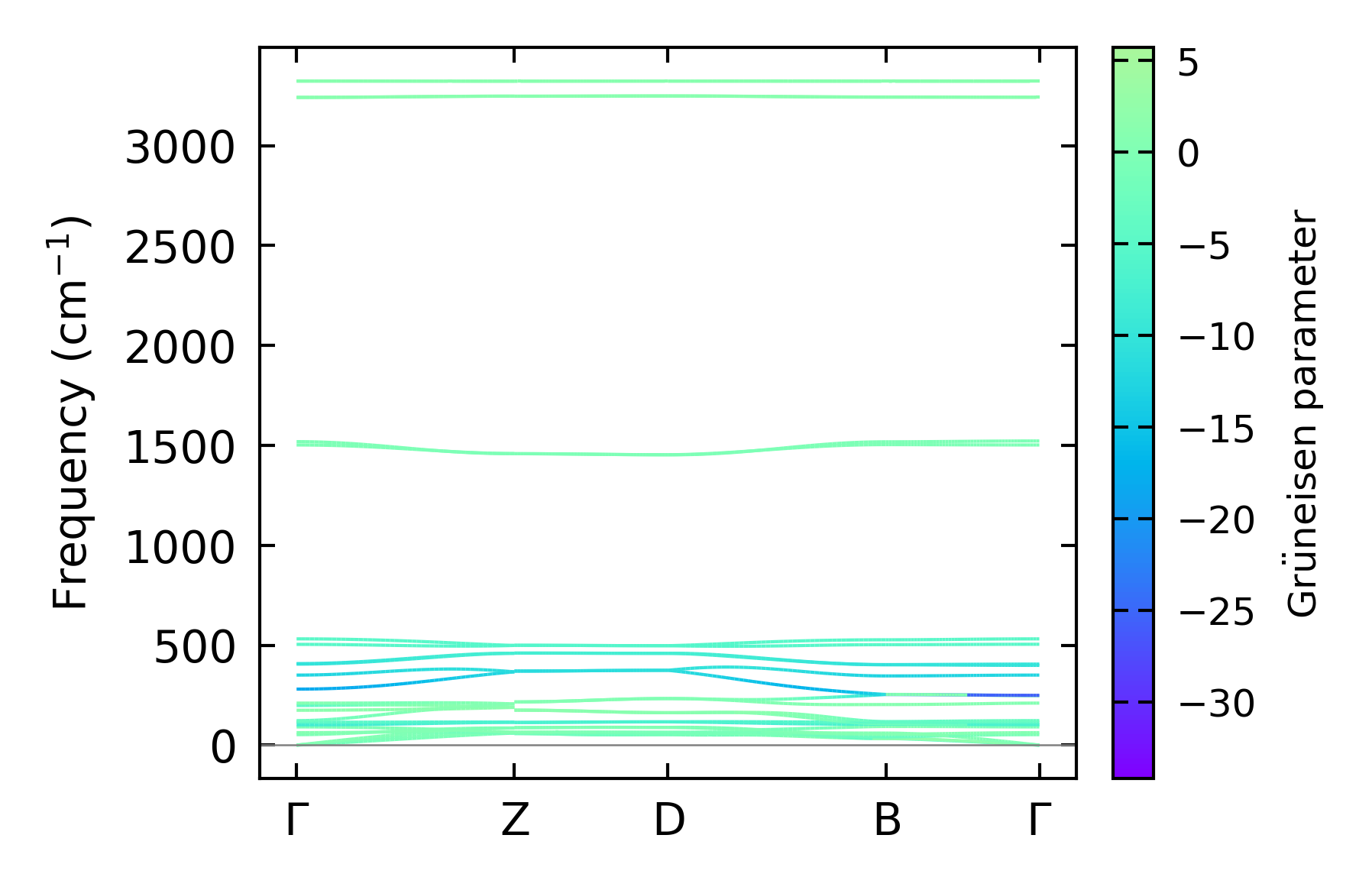
Grüneisen parameters

../../_images/fig_gru_all2027.png

(a) Grüneisen parameters

../../_images/fig_gruneisen2027.png

(b) Phonon dispersion with Grüneisen parameters

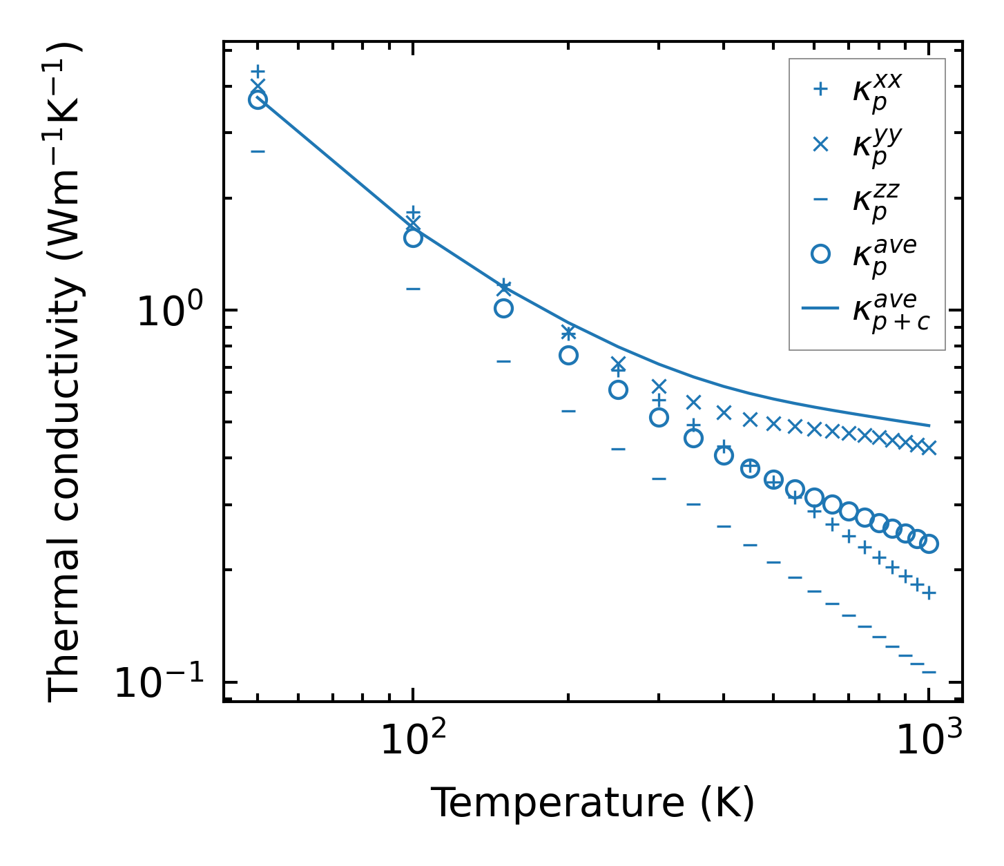
Thermal conductivity

3-phonon (LASSO) — q-mesh: 15x18x11, supercell: 3x3x2

../../_images/fig_kappa3882.png

(a) Temperature-dependent lattice thermal conductivity

../../_images/fig_kappa_vs_grain_size2055.png

(b) Peierls lattice thermal conductivity w.r.t grain size

Phonon lifetime and scattering rates

../../_images/fig_lifetime2014.png

(a) Phonon lifetime due to phonon-phonon scattering

../../_images/fig_scat_rates2013.png

(b) Phonon scattering rates

Cumulative and spectral thermal conductivity

../../_images/fig_cumu_frequency2014.png

(a) Spectral and cumulative thermal conductivity w.r.t frequency

../../_images/fig_cumu_mfp2014.png

(b) Spectral and cumulative thermal conductivity w.r.t MFP

Force constants

../../_images/fig_fc24481.png

(a) Force constants w.r.t atomic distance

Summary

../../_images/fig_kappa3883.png

(a) Temperature-dependent lattice thermal conductivity

../../_images/fig_times8274.png

(b) Computation time