mp-697168/MgH6N2Cl2/anharm

Equation of state

../../_images/fig_bm2331.png

(a) Equation of state

Harmonic properties

../../_images/fig_bandos_pr4673.png

(a) Phonon dispersion with participation ratio and DOS

../../_images/fig_thermo4673.png

(b) Thermodynamic properties

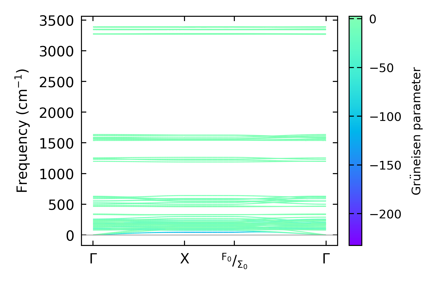
Grüneisen parameters

../../_images/fig_gru_all2028.png

(a) Grüneisen parameters

../../_images/fig_gruneisen2028.png

(b) Phonon dispersion with Grüneisen parameters

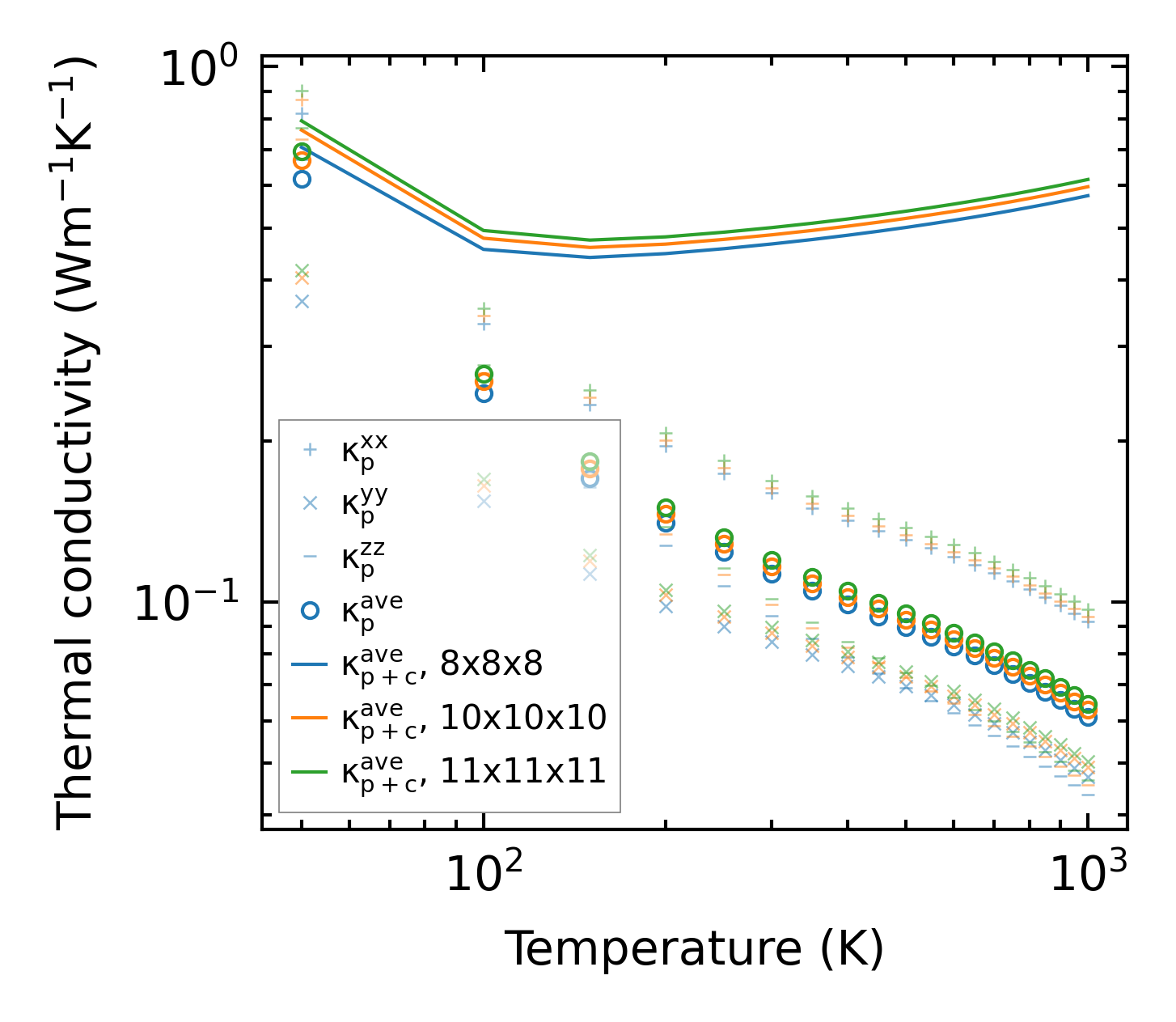
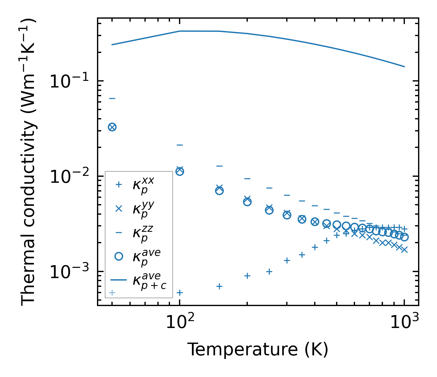
Thermal conductivity

3-phonon (LASSO) — q-mesh: 11x11x11, supercell: 1x2x1

../../_images/fig_kappa3884.png

(a) Temperature-dependent lattice thermal conductivity

../../_images/fig_kappa_vs_grain_size2056.png

(b) Peierls lattice thermal conductivity w.r.t grain size

3-phonon (LASSO), supercell 2x1x2 — q-mesh: 11x11x11, supercell: 2x1x2

../../_images/fig_kappa3885.png

(a) Temperature-dependent lattice thermal conductivity

../../_images/fig_kappa_vs_grain_size2057.png

(b) Peierls lattice thermal conductivity w.r.t grain size

Phonon lifetime and scattering rates

../../_images/fig_lifetime2015.png

(a) Phonon lifetime due to phonon-phonon scattering

../../_images/fig_scat_rates2014.png

(b) Phonon scattering rates

Cumulative and spectral thermal conductivity

../../_images/fig_cumu_frequency2015.png

(a) Spectral and cumulative thermal conductivity w.r.t frequency

../../_images/fig_cumu_mfp2015.png

(b) Spectral and cumulative thermal conductivity w.r.t MFP

Force constants

../../_images/fig_fc24484.png

(a) Force constants w.r.t atomic distance

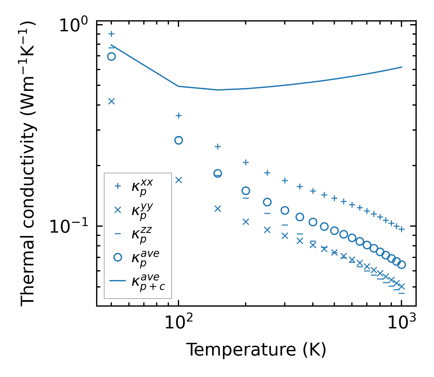
Summary

../../_images/fig_kappa3886.png

(a) Temperature-dependent lattice thermal conductivity

../../_images/fig_times8277.png

(b) Computation time