mp-697263-2/LiAsH2OF6/anharm

Equation of state

../../_images/fig_bm2335.png

(a) Equation of state

Harmonic properties

../../_images/fig_bandos_pr4682.png

(a) Phonon dispersion with participation ratio and DOS

../../_images/fig_thermo4682.png

(b) Thermodynamic properties

Grüneisen parameters

../../_images/fig_gru_all2032.png

(a) Grüneisen parameters

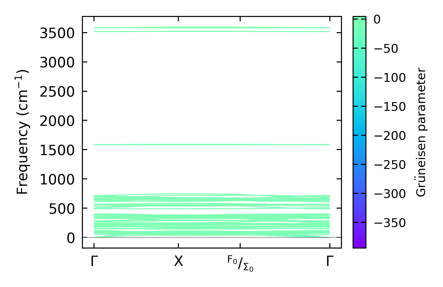
../../_images/fig_gruneisen2032.png

(b) Phonon dispersion with Grüneisen parameters

Thermal conductivity

3-phonon (LASSO) — q-mesh: 11x11x11, supercell: 1x1x2

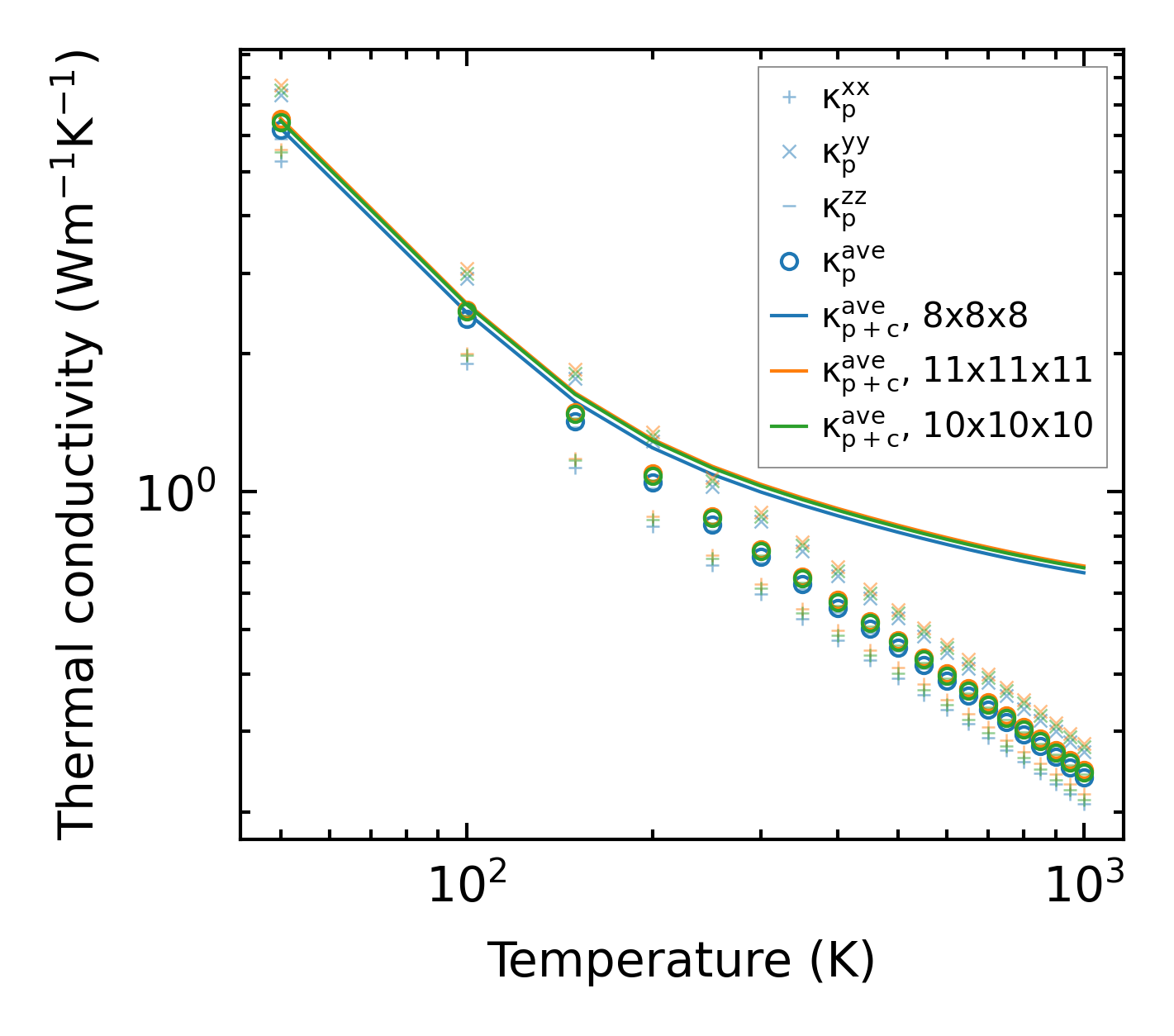
../../_images/fig_kappa3893.png

(a) Temperature-dependent lattice thermal conductivity

../../_images/fig_kappa_vs_grain_size2061.png

(b) Peierls lattice thermal conductivity w.r.t grain size

Phonon lifetime and scattering rates

../../_images/fig_lifetime2019.png

(a) Phonon lifetime due to phonon-phonon scattering

../../_images/fig_scat_rates2018.png

(b) Phonon scattering rates

Cumulative and spectral thermal conductivity

../../_images/fig_cumu_frequency2019.png

(a) Spectral and cumulative thermal conductivity w.r.t frequency

../../_images/fig_cumu_mfp2019.png

(b) Spectral and cumulative thermal conductivity w.r.t MFP

Force constants

../../_images/fig_fc24493.png

(a) Force constants w.r.t atomic distance

Summary

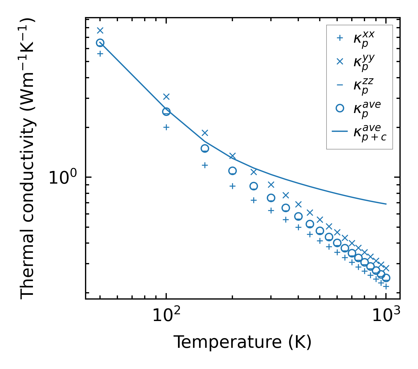
../../_images/fig_kappa3894.png

(a) Temperature-dependent lattice thermal conductivity

../../_images/fig_times8289.png

(b) Computation time