mp-697144/RbH2N/anharm

Harmonic properties

../../_images/fig_bandos_pr4669.png

(a) Phonon dispersion with participation ratio and DOS

../../_images/fig_thermo4669.png

(b) Thermodynamic properties

Grüneisen parameters

../../_images/fig_gru_all2026.png

(a) Grüneisen parameters

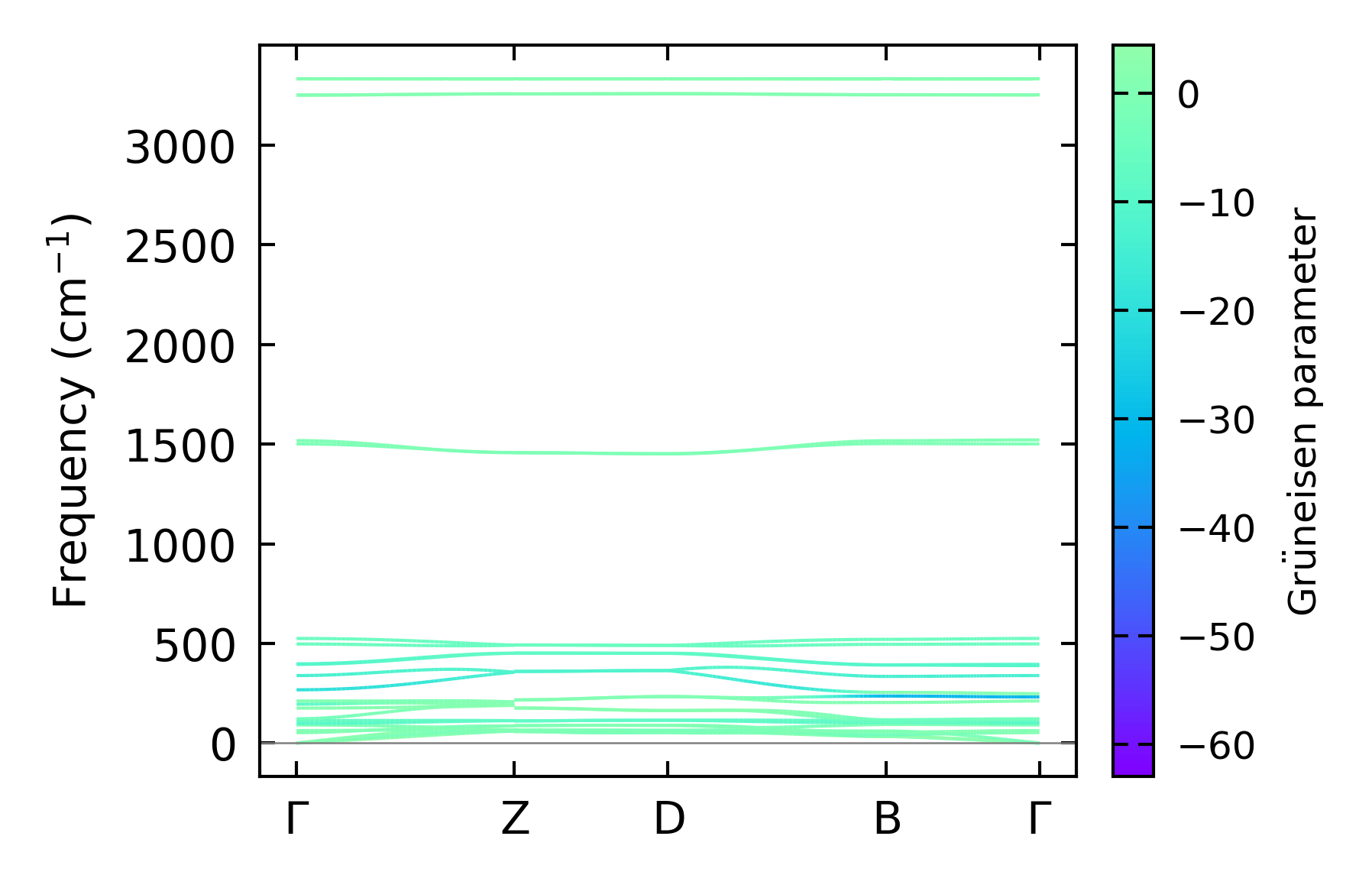
../../_images/fig_gruneisen2026.png

(b) Phonon dispersion with Grüneisen parameters

Thermal conductivity

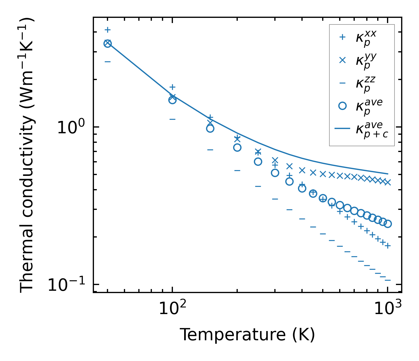
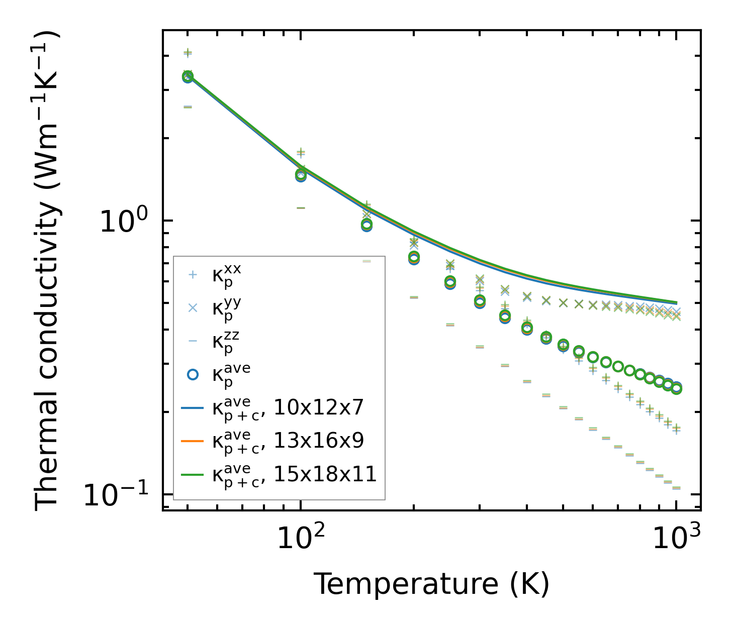
3-phonon (LASSO) — q-mesh: 15x18x11, supercell: 3x3x2

../../_images/fig_kappa3880.png

(a) Temperature-dependent lattice thermal conductivity

../../_images/fig_kappa_vs_grain_size2054.png

(b) Peierls lattice thermal conductivity w.r.t grain size

Phonon lifetime and scattering rates

../../_images/fig_lifetime2013.png

(a) Phonon lifetime due to phonon-phonon scattering

../../_images/fig_scat_rates2012.png

(b) Phonon scattering rates

Cumulative and spectral thermal conductivity

../../_images/fig_cumu_frequency2013.png

(a) Spectral and cumulative thermal conductivity w.r.t frequency

../../_images/fig_cumu_mfp2013.png

(b) Spectral and cumulative thermal conductivity w.r.t MFP

Force constants

../../_images/fig_fc24480.png

(a) Force constants w.r.t atomic distance

Summary

../../_images/fig_kappa3881.png

(a) Temperature-dependent lattice thermal conductivity

../../_images/fig_times8273.png

(b) Computation time