mp-697558/SbH12C2N6F5/harm

Harmonic properties

../../_images/fig_bandos_pr4689.png

(a) Phonon dispersion with participation ratio and DOS

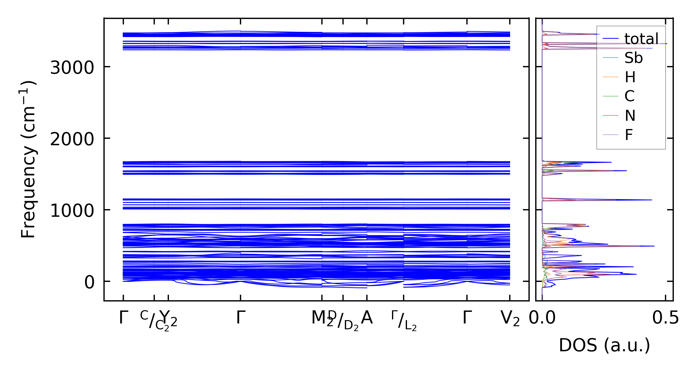
../../_images/fig_bandos6504.png

(b) Phonon dispersion and DOS

../../_images/fig_thermo4689.png

(c) Thermodynamic properties

Force constants

../../_images/fig_fc24500.png

(a) Force constants w.r.t atomic distance

Summary

../../_images/fig_times8307.png

(a) Computation time