mp-1206844/RbPaO3/anharm

Harmonic properties

../../_images/fig_bandos_pr15472.png

(a) Phonon dispersion with participation ratio and DOS

../../_images/fig_thermo15471.png

(b) Thermodynamic properties

Grüneisen parameters

../../_images/fig_gru_all6695.png

(a) Grüneisen parameters

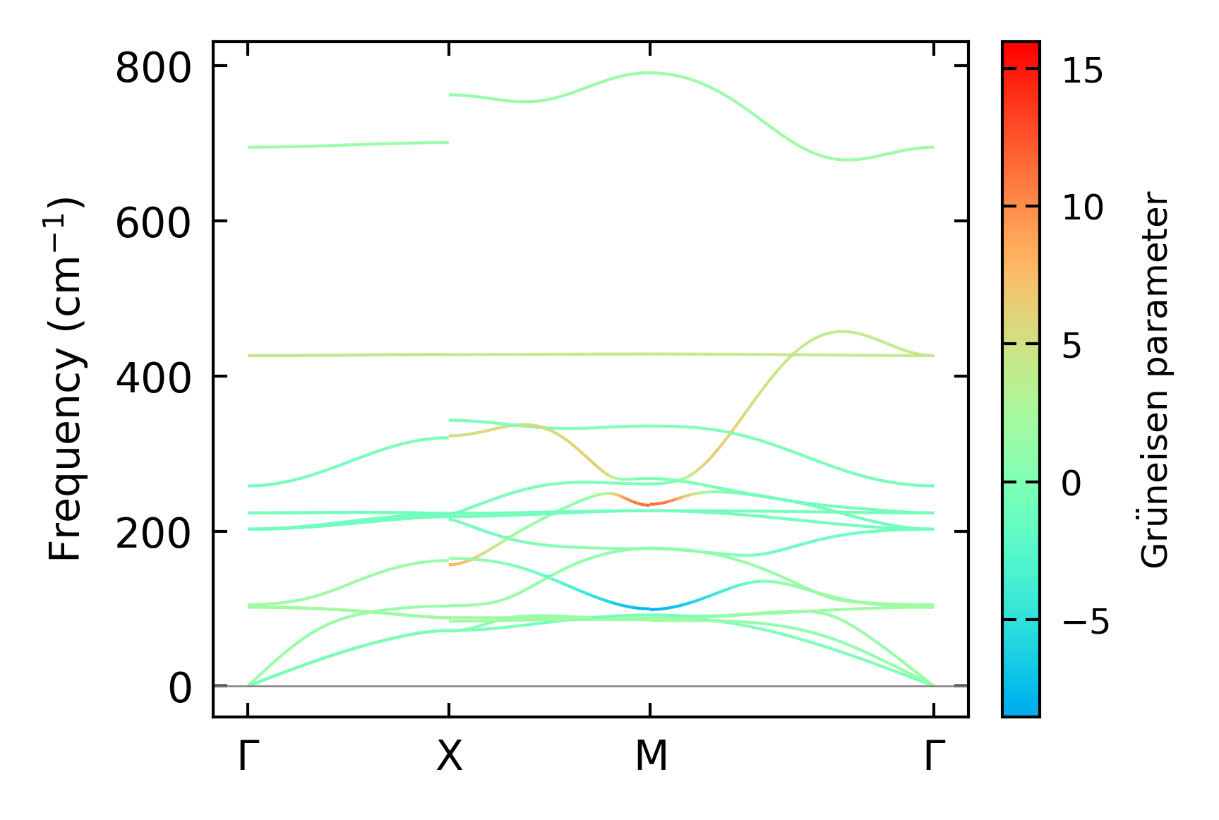
../../_images/fig_gruneisen6695.png

(b) Phonon dispersion with Grüneisen parameters

Thermal conductivity

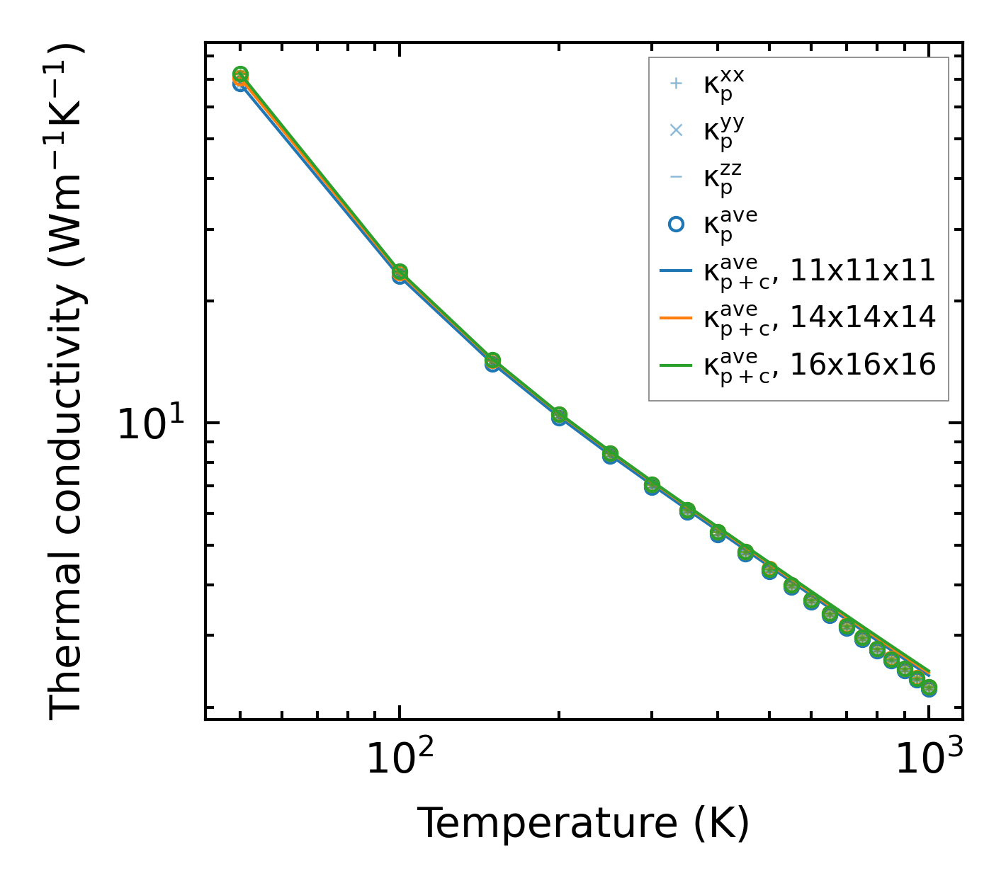
3-phonon — q-mesh: 16x16x16, supercell: 3x3x3

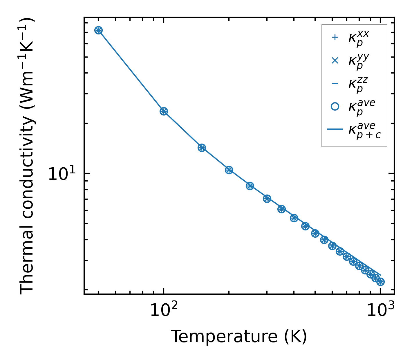
../../_images/fig_kappa12609.png

(a) Temperature-dependent lattice thermal conductivity

../../_images/fig_kappa_vs_grain_size6773.png

(b) Peierls lattice thermal conductivity w.r.t grain size

Phonon lifetime and scattering rates

../../_images/fig_lifetime6629.png

(a) Phonon lifetime due to phonon-phonon scattering

../../_images/fig_scat_rates6628.png

(b) Phonon scattering rates

Cumulative and spectral thermal conductivity

../../_images/fig_cumu_frequency6629.png

(a) Spectral and cumulative thermal conductivity w.r.t frequency

../../_images/fig_cumu_mfp6628.png

(b) Spectral and cumulative thermal conductivity w.r.t MFP

Force constants

../../_images/fig_fc3404.png

(a) Force constants w.r.t atomic distance

Summary

../../_images/fig_kappa12610.png

(a) Temperature-dependent lattice thermal conductivity

../../_images/fig_times25561.png

(b) Computation time