mp-1206667/PrNiBi/anharm

Harmonic properties

../../_images/fig_bandos_pr15461.png

(a) Phonon dispersion with participation ratio and DOS

../../_images/fig_thermo15460.png

(b) Thermodynamic properties

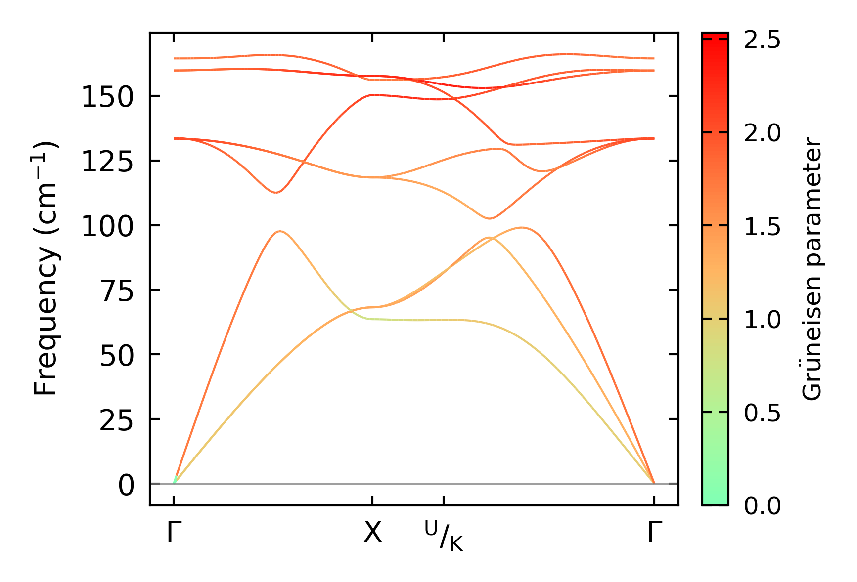
Grüneisen parameters

../../_images/fig_gru_all6686.png

(a) Grüneisen parameters

../../_images/fig_gruneisen6686.png

(b) Phonon dispersion with Grüneisen parameters

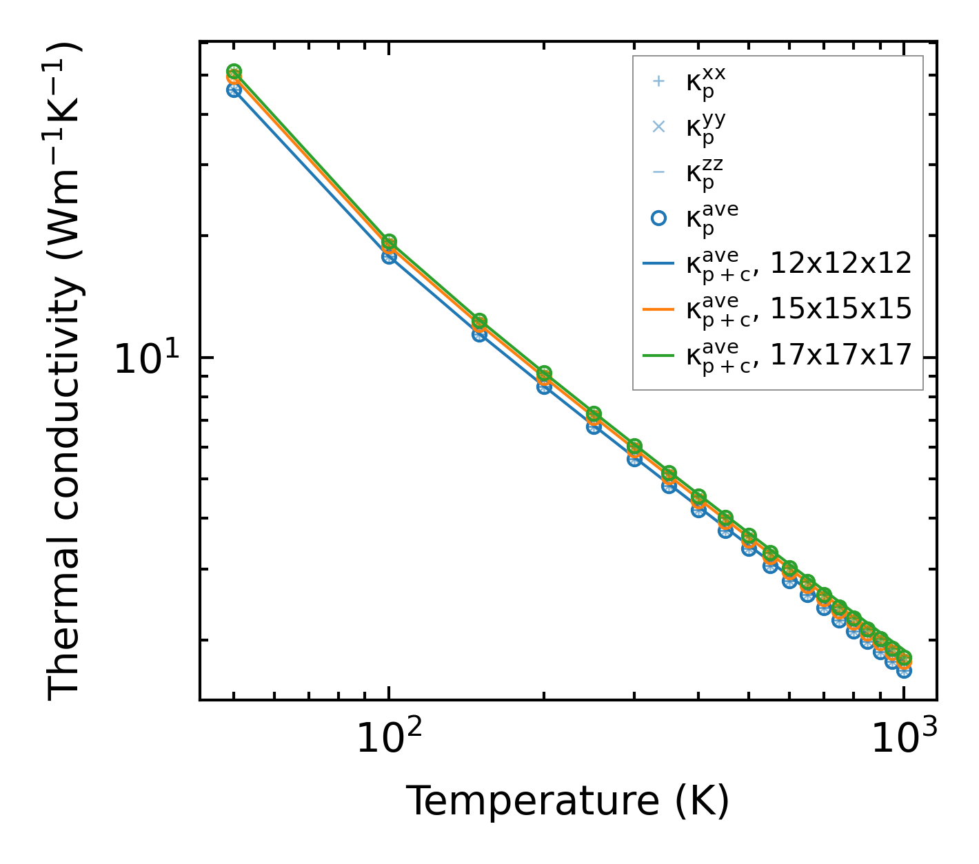
Thermal conductivity

3-phonon — q-mesh: 17x17x17, supercell: 2x2x2

../../_images/fig_kappa12592.png

(a) Temperature-dependent lattice thermal conductivity

../../_images/fig_kappa_vs_grain_size6764.png

(b) Peierls lattice thermal conductivity w.r.t grain size

Phonon lifetime and scattering rates

../../_images/fig_lifetime6620.png

(a) Phonon lifetime due to phonon-phonon scattering

../../_images/fig_scat_rates6619.png

(b) Phonon scattering rates

Cumulative and spectral thermal conductivity

../../_images/fig_cumu_frequency6620.png

(a) Spectral and cumulative thermal conductivity w.r.t frequency

../../_images/fig_cumu_mfp6619.png

(b) Spectral and cumulative thermal conductivity w.r.t MFP

Force constants

../../_images/fig_fc3399.png

(a) Force constants w.r.t atomic distance

Summary

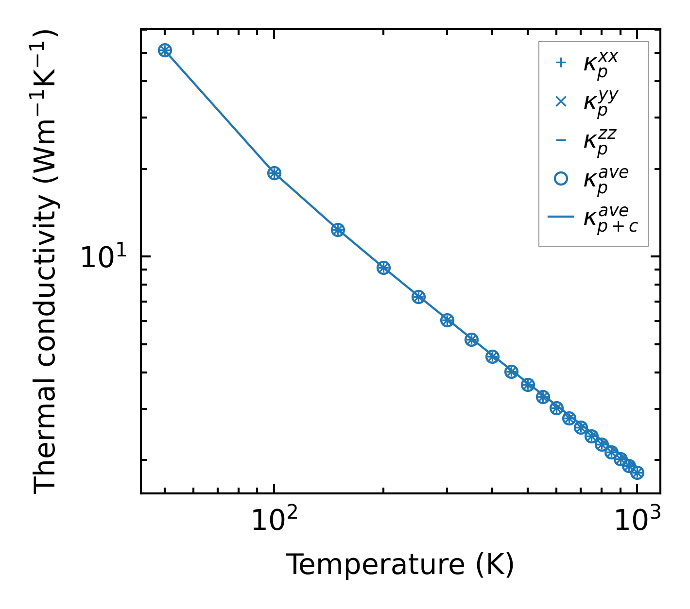
../../_images/fig_kappa12593.png

(a) Temperature-dependent lattice thermal conductivity

../../_images/fig_times25546.png

(b) Computation time