mp-1206466/SbPbBrO2/anharm

Harmonic properties

../../_images/fig_bandos_pr15455.png

(a) Phonon dispersion with participation ratio and DOS

../../_images/fig_thermo15454.png

(b) Thermodynamic properties

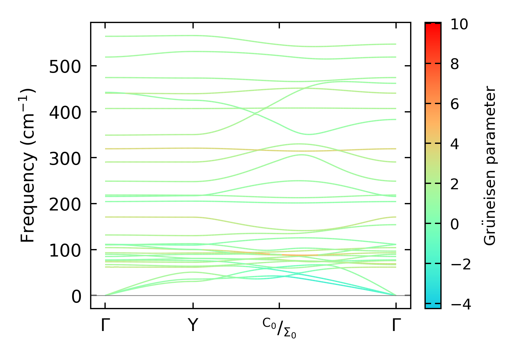
Grüneisen parameters

../../_images/fig_gru_all6683.png

(a) Grüneisen parameters

../../_images/fig_gruneisen6683.png

(b) Phonon dispersion with Grüneisen parameters

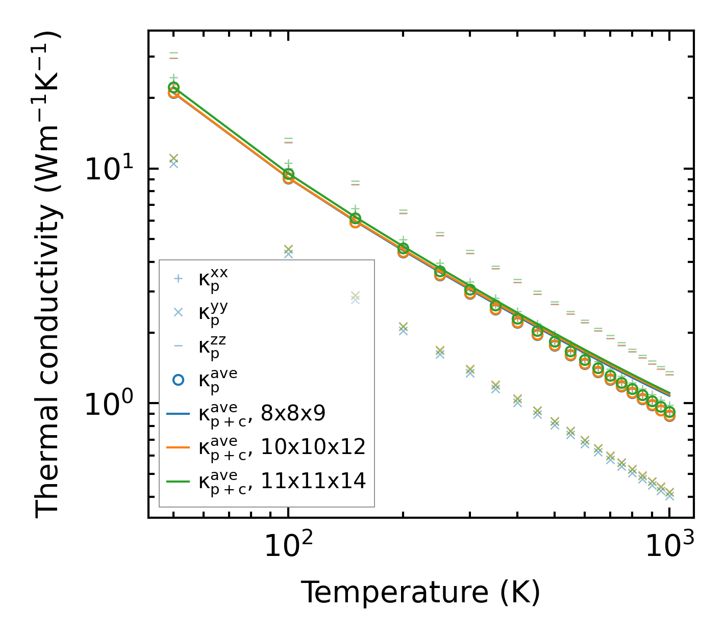
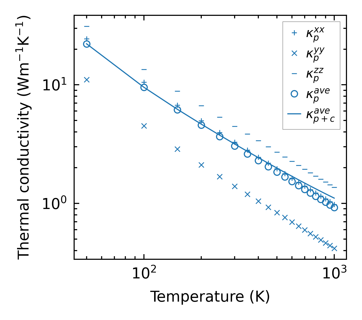
Thermal conductivity

3-phonon (LASSO) — q-mesh: 11x11x14, supercell: 2x1x3

../../_images/fig_kappa12586.png

(a) Temperature-dependent lattice thermal conductivity

../../_images/fig_kappa_vs_grain_size6761.png

(b) Peierls lattice thermal conductivity w.r.t grain size

Phonon lifetime and scattering rates

../../_images/fig_lifetime6617.png

(a) Phonon lifetime due to phonon-phonon scattering

../../_images/fig_scat_rates6616.png

(b) Phonon scattering rates

Cumulative and spectral thermal conductivity

../../_images/fig_cumu_frequency6617.png

(a) Spectral and cumulative thermal conductivity w.r.t frequency

../../_images/fig_cumu_mfp6616.png

(b) Spectral and cumulative thermal conductivity w.r.t MFP

Force constants

../../_images/fig_fc215057.png

(a) Force constants w.r.t atomic distance

Summary

../../_images/fig_kappa12587.png

(a) Temperature-dependent lattice thermal conductivity

../../_images/fig_times25540.png

(b) Computation time