mp-1206388/NaAgC2/anharm

Harmonic properties

../../_images/fig_bandos_pr15453.png

(a) Phonon dispersion with participation ratio and DOS

../../_images/fig_thermo15452.png

(b) Thermodynamic properties

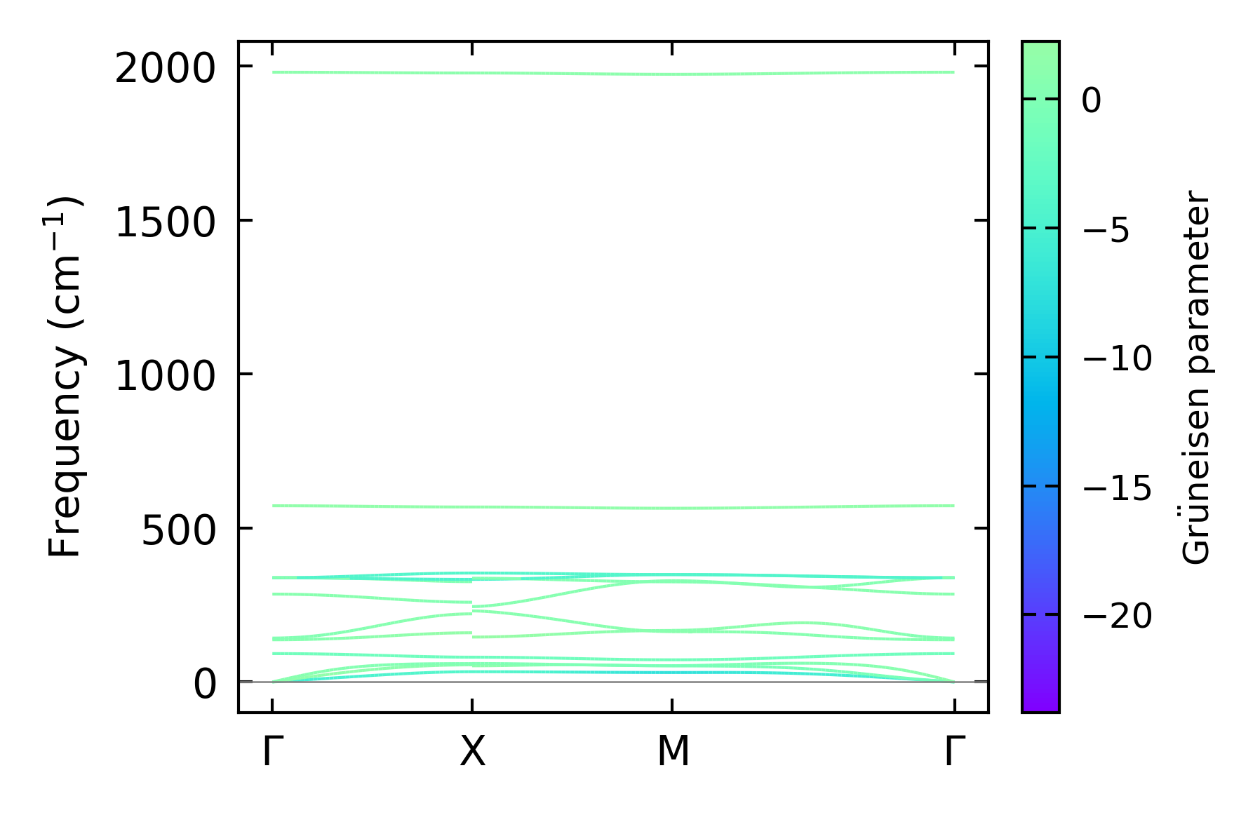
Grüneisen parameters

../../_images/fig_gru_all6682.png

(a) Grüneisen parameters

../../_images/fig_gruneisen6682.png

(b) Phonon dispersion with Grüneisen parameters

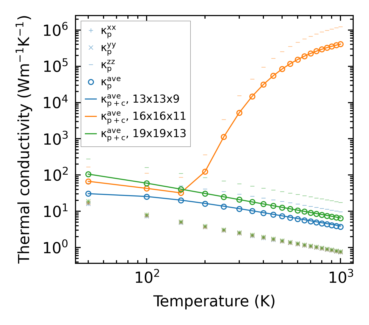
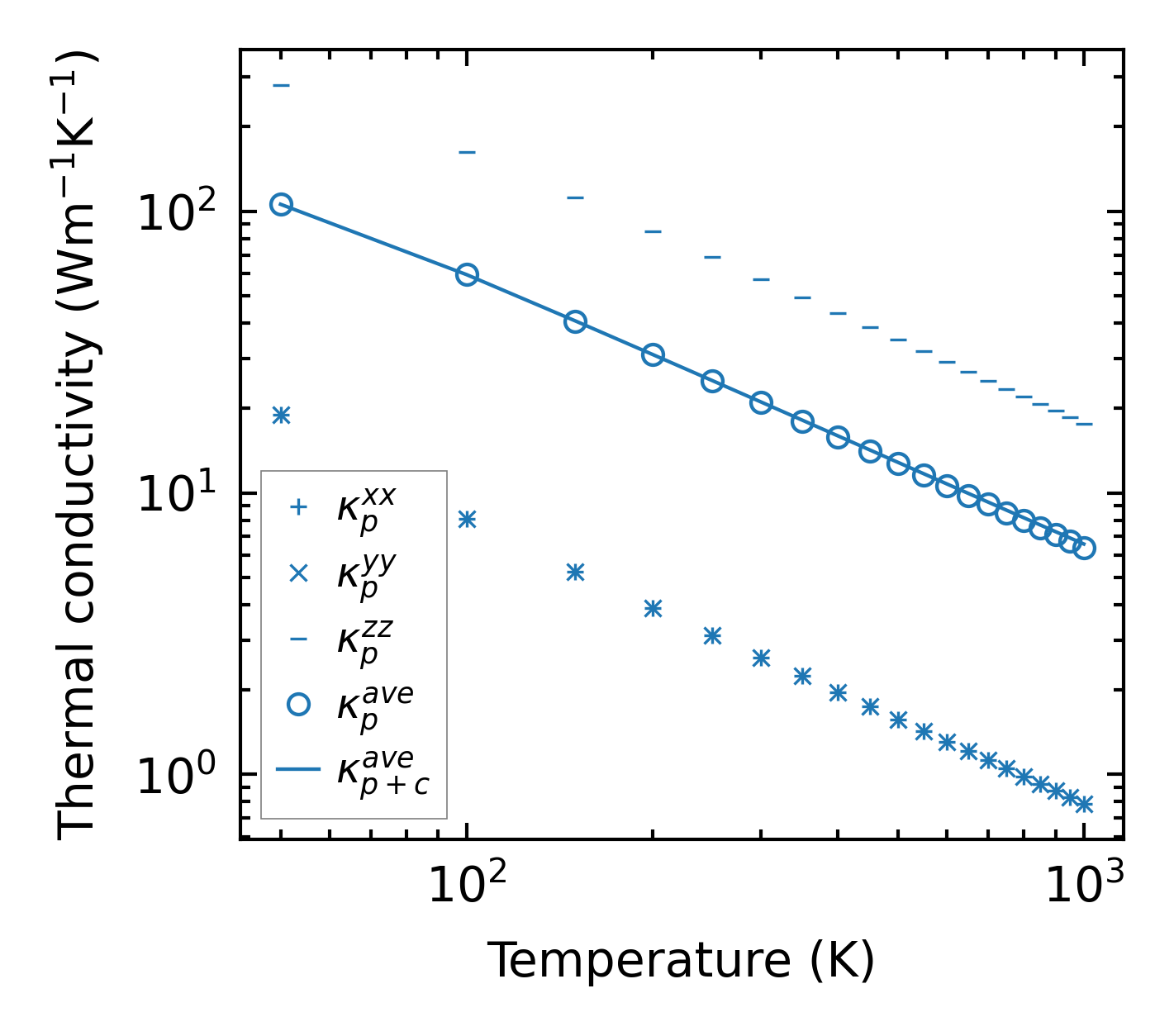
Thermal conductivity

3-phonon (LASSO) — q-mesh: 19x19x13, supercell: 3x3x3

../../_images/fig_kappa12584.png

(a) Temperature-dependent lattice thermal conductivity

../../_images/fig_kappa_vs_grain_size6760.png

(b) Peierls lattice thermal conductivity w.r.t grain size

Phonon lifetime and scattering rates

../../_images/fig_lifetime6616.png

(a) Phonon lifetime due to phonon-phonon scattering

../../_images/fig_scat_rates6615.png

(b) Phonon scattering rates

Cumulative and spectral thermal conductivity

../../_images/fig_cumu_frequency6616.png

(a) Spectral and cumulative thermal conductivity w.r.t frequency

../../_images/fig_cumu_mfp6615.png

(b) Spectral and cumulative thermal conductivity w.r.t MFP

Force constants

../../_images/fig_fc215055.png

(a) Force constants w.r.t atomic distance

Summary

../../_images/fig_kappa12585.png

(a) Temperature-dependent lattice thermal conductivity

../../_images/fig_times25538.png

(b) Computation time