mp-1206723-2/HoCuSe2/anharm

Equation of state

../../_images/fig_bm7576.png

(a) Equation of state

Harmonic properties

../../_images/fig_bandos_pr15467.png

(a) Phonon dispersion with participation ratio and DOS

../../_images/fig_bandos19836.png

(b) Phonon dispersion and DOS

../../_images/fig_thermo15466.png

(c) Thermodynamic properties

Grüneisen parameters

../../_images/fig_gru_all6691.png

(a) Grüneisen parameters

../../_images/fig_gruneisen6691.png

(b) Phonon dispersion with Grüneisen parameters

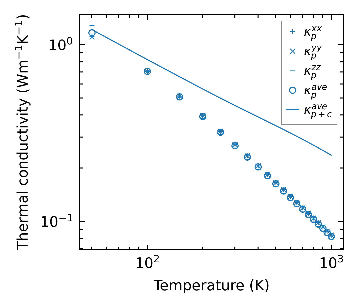
Thermal conductivity

3-phonon (LASSO), supercell 4x4x3 — q-mesh: 19x19x12, supercell: 4x4x3

../../_images/fig_kappa12602.png

(a) Temperature-dependent lattice thermal conductivity

../../_images/fig_kappa_vs_grain_size6769.png

(b) Peierls lattice thermal conductivity w.r.t grain size

Phonon lifetime and scattering rates

../../_images/fig_lifetime6625.png

(a) Phonon lifetime due to phonon-phonon scattering

../../_images/fig_scat_rates6624.png

(b) Phonon scattering rates

Cumulative and spectral thermal conductivity

../../_images/fig_cumu_frequency6625.png

(a) Spectral and cumulative thermal conductivity w.r.t frequency

../../_images/fig_cumu_mfp6624.png

(b) Spectral and cumulative thermal conductivity w.r.t MFP

Force constants

../../_images/fig_fc215064.png

(a) Force constants w.r.t atomic distance

Summary

../../_images/fig_times25553.png

(a) Computation time