mp-1206682/SmNiBi/anharm

Harmonic properties

../../_images/fig_bandos_pr15462.png

(a) Phonon dispersion with participation ratio and DOS

../../_images/fig_thermo15461.png

(b) Thermodynamic properties

Grüneisen parameters

../../_images/fig_gru_all6687.png

(a) Grüneisen parameters

../../_images/fig_gruneisen6687.png

(b) Phonon dispersion with Grüneisen parameters

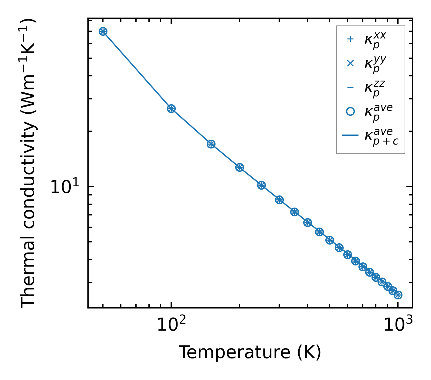
Thermal conductivity

3-phonon — q-mesh: 17x17x17, supercell: 2x2x2

../../_images/fig_kappa12594.png

(a) Temperature-dependent lattice thermal conductivity

../../_images/fig_kappa_vs_grain_size6765.png

(b) Peierls lattice thermal conductivity w.r.t grain size

Phonon lifetime and scattering rates

../../_images/fig_lifetime6621.png

(a) Phonon lifetime due to phonon-phonon scattering

../../_images/fig_scat_rates6620.png

(b) Phonon scattering rates

Cumulative and spectral thermal conductivity

../../_images/fig_cumu_frequency6621.png

(a) Spectral and cumulative thermal conductivity w.r.t frequency

../../_images/fig_cumu_mfp6620.png

(b) Spectral and cumulative thermal conductivity w.r.t MFP

Force constants

../../_images/fig_fc3400.png

(a) Force constants w.r.t atomic distance

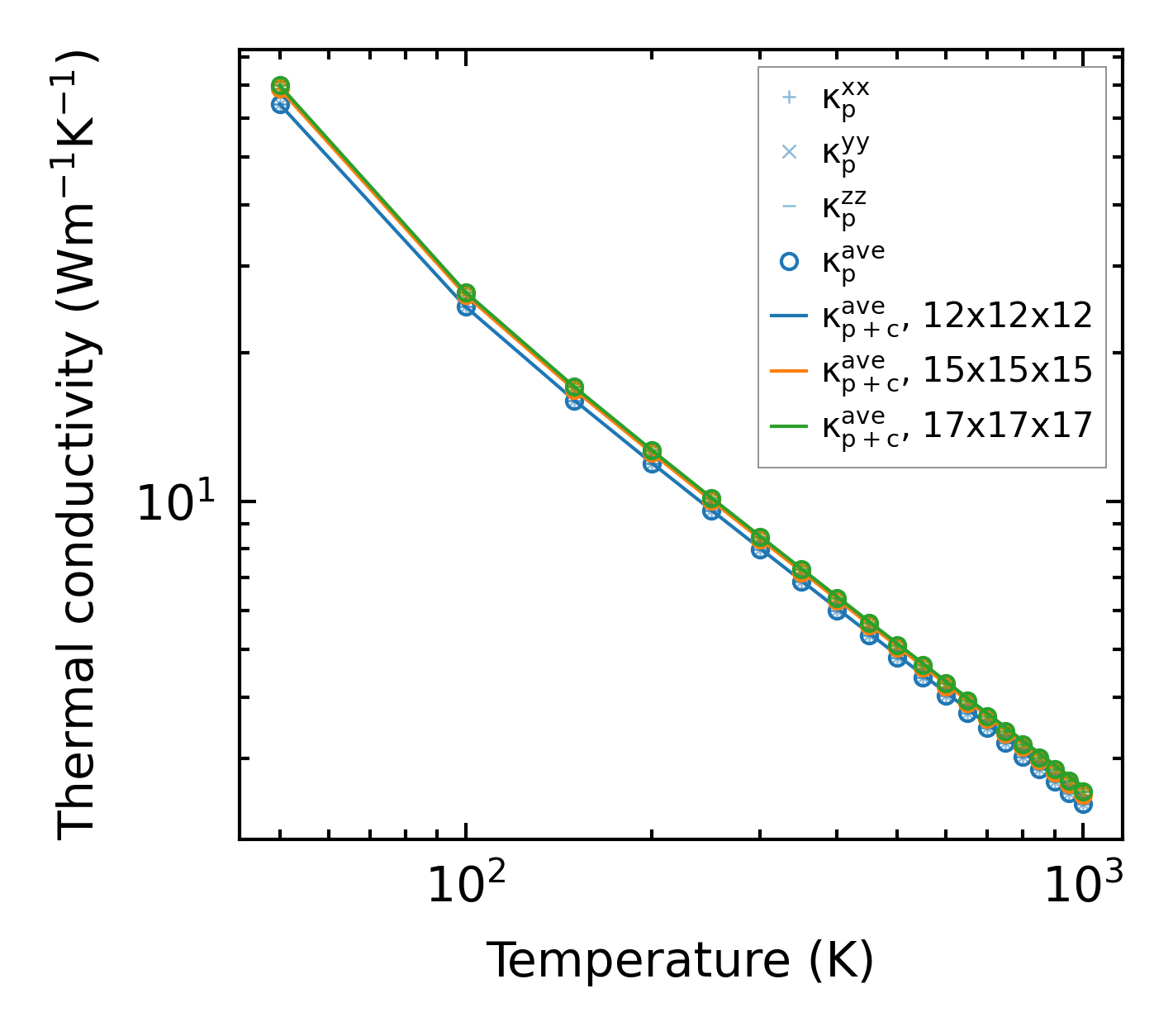
Summary

../../_images/fig_kappa12595.png

(a) Temperature-dependent lattice thermal conductivity

../../_images/fig_times25547.png

(b) Computation time