mp-1206067-2/NdClO2/anharm

Equation of state

../../_images/fig_bm7574.png

(a) Equation of state

Harmonic properties

../../_images/fig_bandos_pr15441.png

(a) Phonon dispersion with participation ratio and DOS

../../_images/fig_bandos19821.png

(b) Phonon dispersion and DOS

../../_images/fig_thermo15440.png

(c) Thermodynamic properties

Grüneisen parameters

../../_images/fig_gru_all6675.png

(a) Grüneisen parameters

../../_images/fig_gruneisen6675.png

(b) Phonon dispersion with Grüneisen parameters

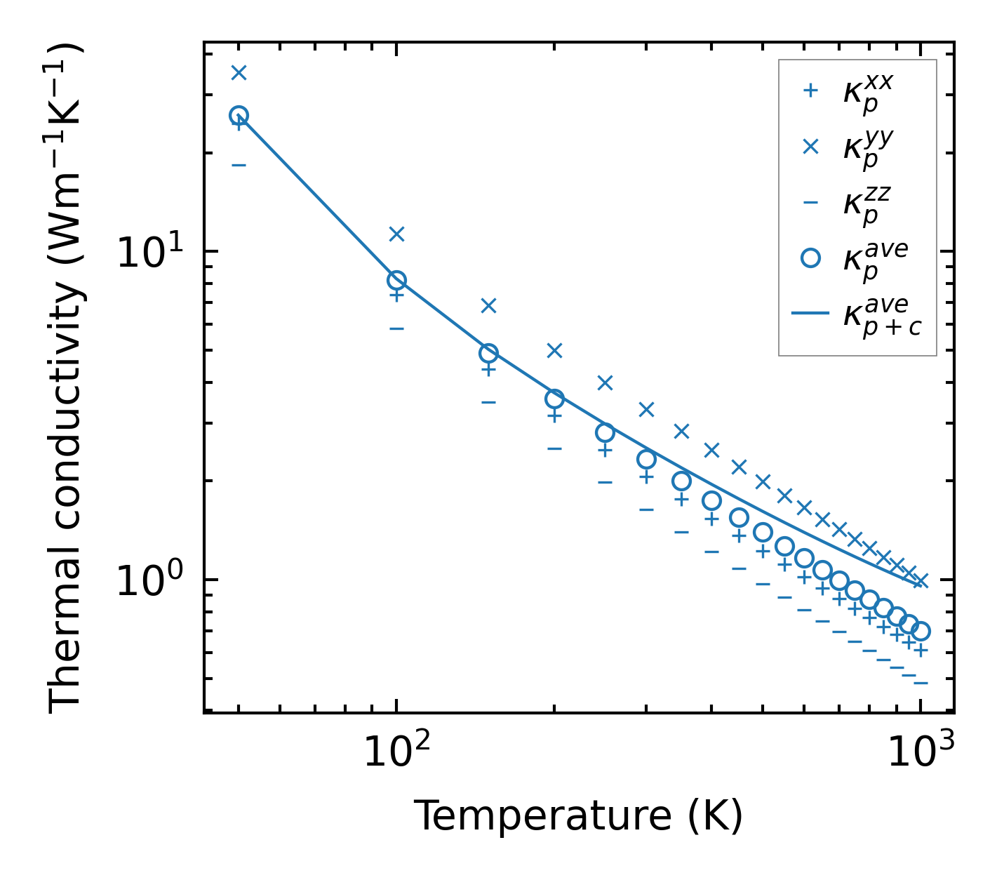
Thermal conductivity

3-phonon (LASSO), supercell 3x3x3 — q-mesh: 14x16x11, supercell: 3x3x3

../../_images/fig_kappa12572.png

(a) Temperature-dependent lattice thermal conductivity

../../_images/fig_kappa_vs_grain_size6753.png

(b) Peierls lattice thermal conductivity w.r.t grain size

Phonon lifetime and scattering rates

../../_images/fig_lifetime6609.png

(a) Phonon lifetime due to phonon-phonon scattering

../../_images/fig_scat_rates6608.png

(b) Phonon scattering rates

Cumulative and spectral thermal conductivity

../../_images/fig_cumu_frequency6609.png

(a) Spectral and cumulative thermal conductivity w.r.t frequency

../../_images/fig_cumu_mfp6608.png

(b) Spectral and cumulative thermal conductivity w.r.t MFP

Force constants

../../_images/fig_fc215044.png

(a) Force constants w.r.t atomic distance

Summary

../../_images/fig_times25524.png

(a) Computation time