mp-1206487/YbCd2As2/anharm

Harmonic properties

../../_images/fig_bandos_pr15456.png

(a) Phonon dispersion with participation ratio and DOS

../../_images/fig_thermo15455.png

(b) Thermodynamic properties

Grüneisen parameters

../../_images/fig_gru_all6684.png

(a) Grüneisen parameters

../../_images/fig_gruneisen6684.png

(b) Phonon dispersion with Grüneisen parameters

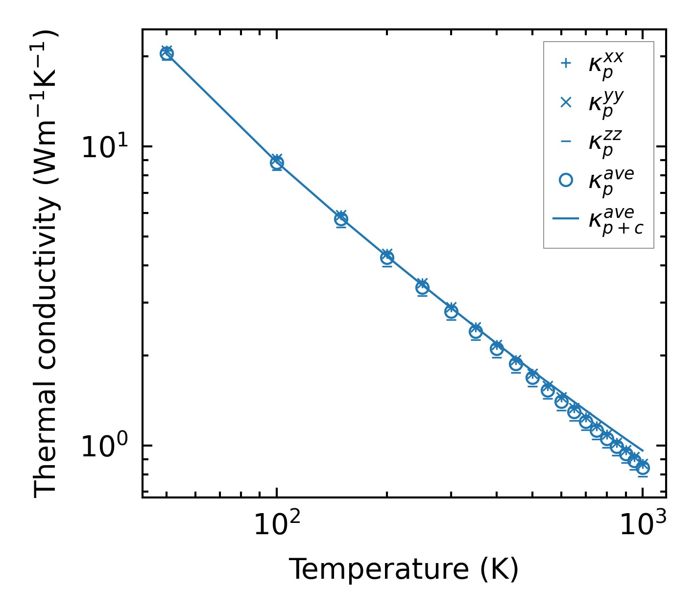
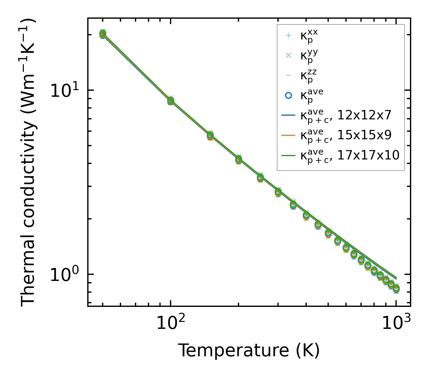
Thermal conductivity

3-phonon (LASSO) — q-mesh: 17x17x10, supercell: 3x3x2

../../_images/fig_kappa12588.png

(a) Temperature-dependent lattice thermal conductivity

../../_images/fig_kappa_vs_grain_size6762.png

(b) Peierls lattice thermal conductivity w.r.t grain size

Phonon lifetime and scattering rates

../../_images/fig_lifetime6618.png

(a) Phonon lifetime due to phonon-phonon scattering

../../_images/fig_scat_rates6617.png

(b) Phonon scattering rates

Cumulative and spectral thermal conductivity

../../_images/fig_cumu_frequency6618.png

(a) Spectral and cumulative thermal conductivity w.r.t frequency

../../_images/fig_cumu_mfp6617.png

(b) Spectral and cumulative thermal conductivity w.r.t MFP

Force constants

../../_images/fig_fc215058.png

(a) Force constants w.r.t atomic distance

Summary

../../_images/fig_kappa12589.png

(a) Temperature-dependent lattice thermal conductivity

../../_images/fig_times25541.png

(b) Computation time