mp-1113583/Cs2GaAgF6/anharm

Harmonic properties

../../_images/fig_bandos_pr16431.png

(a) Phonon dispersion with participation ratio and DOS

../../_images/fig_thermo16430.png

(b) Thermodynamic properties

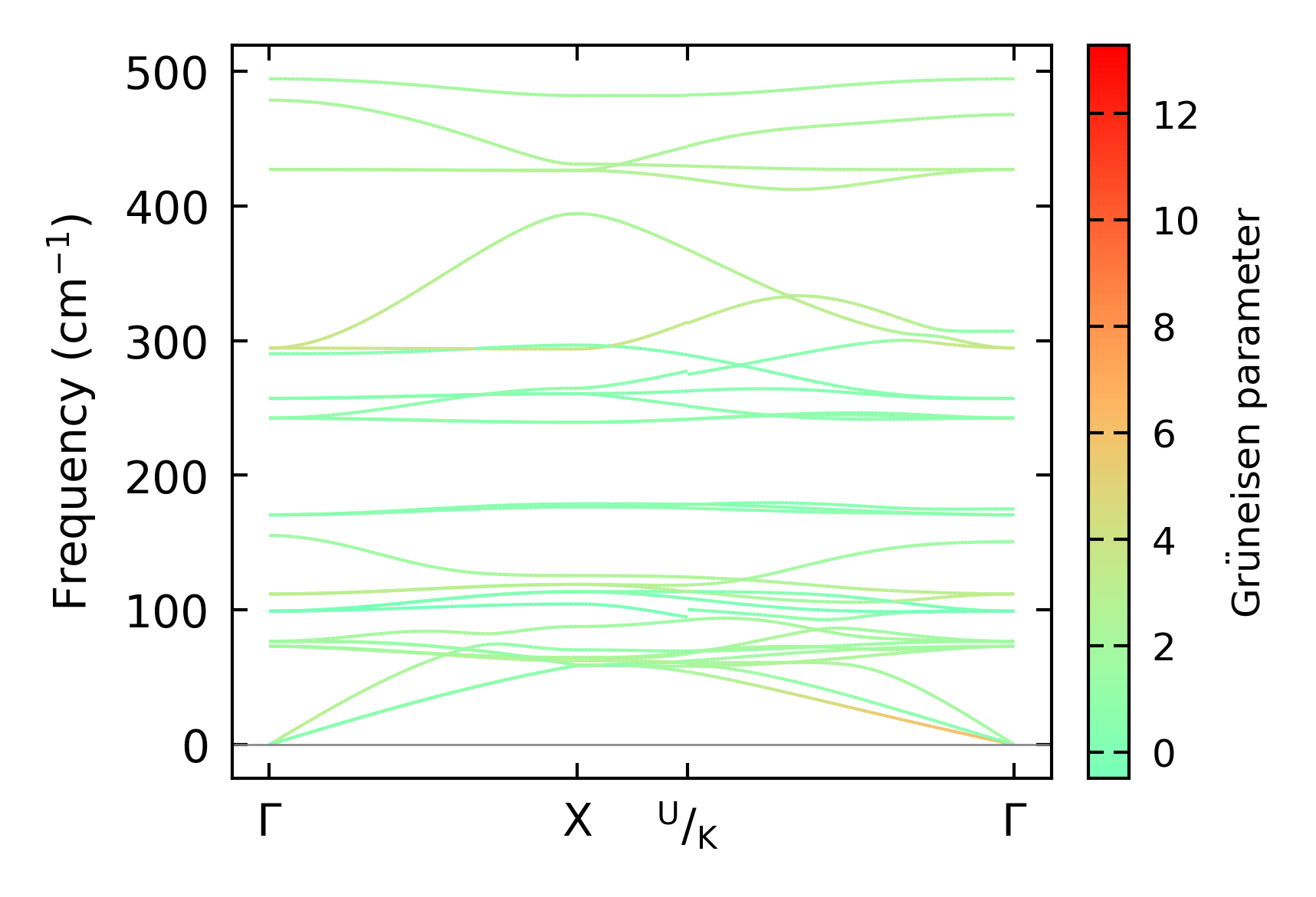
Grüneisen parameters

../../_images/fig_gru_all7101.png

(a) Grüneisen parameters

../../_images/fig_gruneisen7101.png

(b) Phonon dispersion with Grüneisen parameters

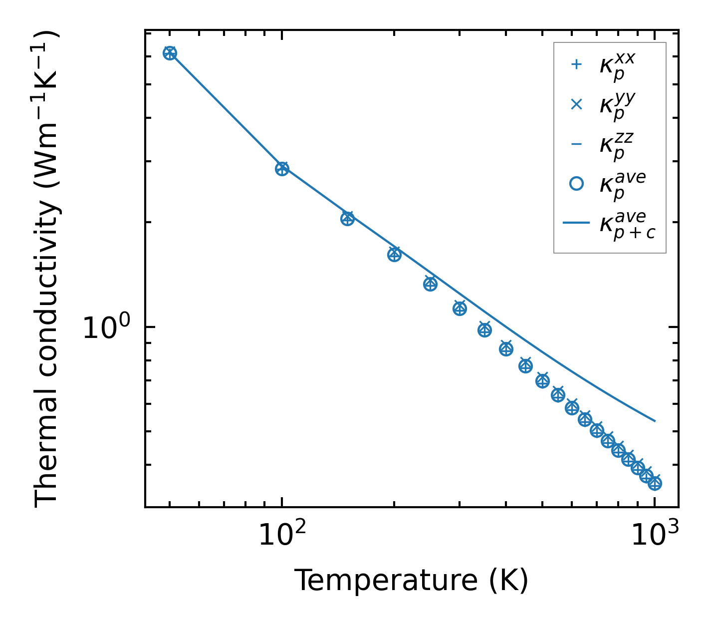
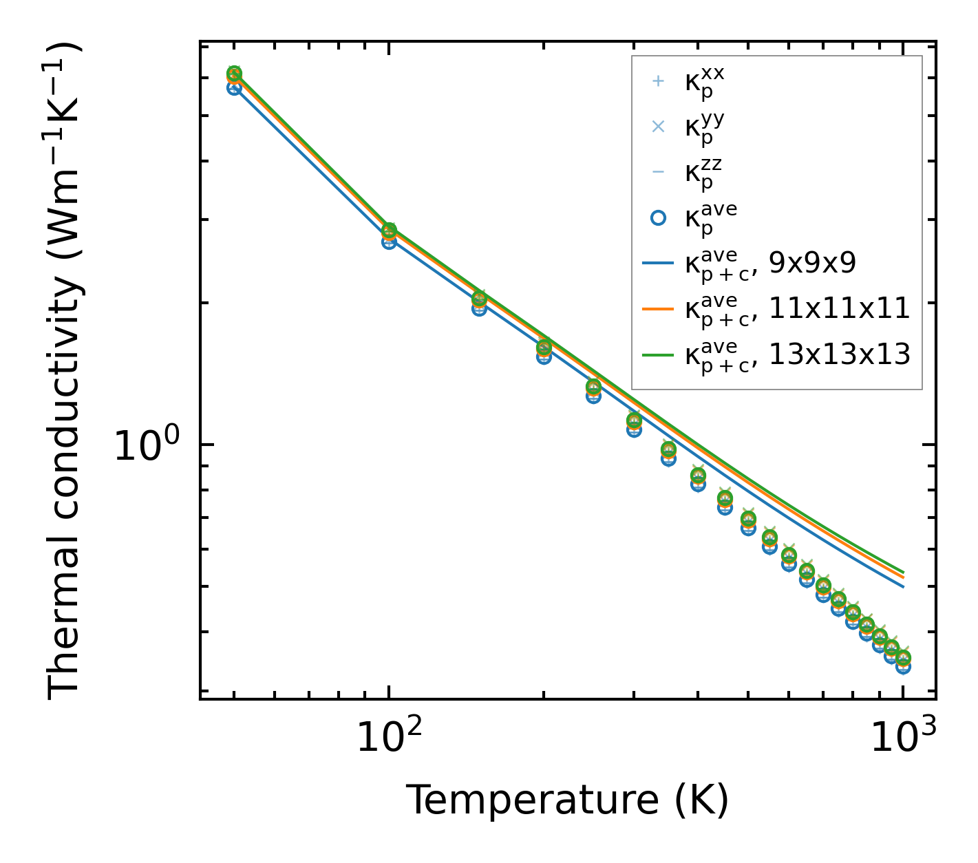
Thermal conductivity

3-phonon (LASSO) — q-mesh: 13x13x13, supercell: 1x1x1

../../_images/fig_kappa13382.png

(a) Temperature-dependent lattice thermal conductivity

../../_images/fig_kappa_vs_grain_size7183.png

(b) Peierls lattice thermal conductivity w.r.t grain size

Phonon lifetime and scattering rates

../../_images/fig_lifetime7035.png

(a) Phonon lifetime due to phonon-phonon scattering

../../_images/fig_scat_rates7034.png

(b) Phonon scattering rates

Cumulative and spectral thermal conductivity

../../_images/fig_cumu_frequency7035.png

(a) Spectral and cumulative thermal conductivity w.r.t frequency

../../_images/fig_cumu_mfp7034.png

(b) Spectral and cumulative thermal conductivity w.r.t MFP

Force constants

../../_images/fig_fc216014.png

(a) Force constants w.r.t atomic distance

Summary

../../_images/fig_kappa13383.png

(a) Temperature-dependent lattice thermal conductivity

../../_images/fig_times26932.png

(b) Computation time