mp-1113309/Rb2CuAsF6/anharm

Harmonic properties

../../_images/fig_bandos_pr16429.png

(a) Phonon dispersion with participation ratio and DOS

../../_images/fig_thermo16428.png

(b) Thermodynamic properties

Grüneisen parameters

../../_images/fig_gru_all7100.png

(a) Grüneisen parameters

../../_images/fig_gruneisen7100.png

(b) Phonon dispersion with Grüneisen parameters

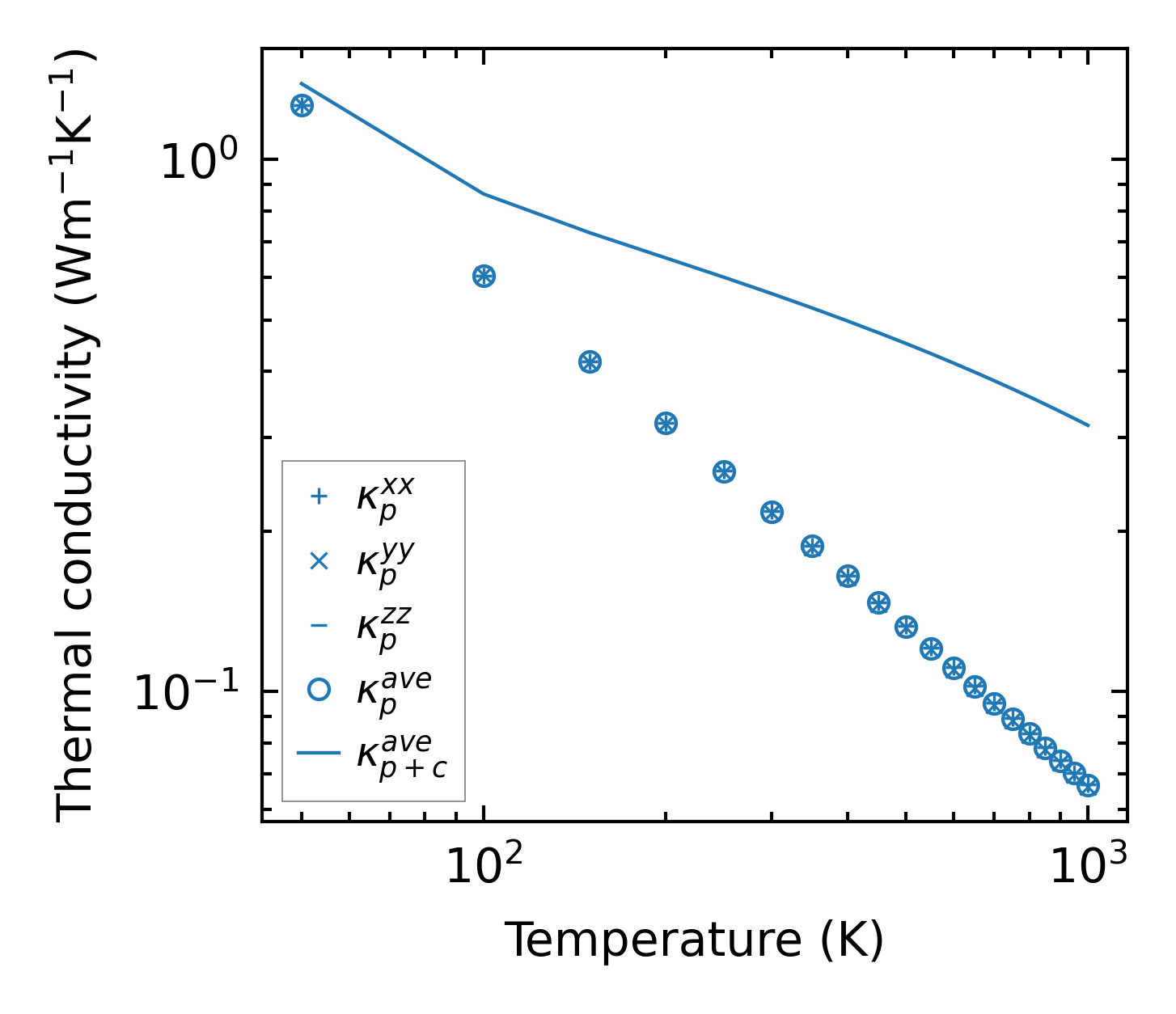
Thermal conductivity

3-phonon (LASSO) — q-mesh: 13x13x13, supercell: 1x1x1

../../_images/fig_kappa13380.png

(a) Temperature-dependent lattice thermal conductivity

../../_images/fig_kappa_vs_grain_size7182.png

(b) Peierls lattice thermal conductivity w.r.t grain size

Phonon lifetime and scattering rates

../../_images/fig_lifetime7034.png

(a) Phonon lifetime due to phonon-phonon scattering

../../_images/fig_scat_rates7033.png

(b) Phonon scattering rates

Cumulative and spectral thermal conductivity

../../_images/fig_cumu_frequency7034.png

(a) Spectral and cumulative thermal conductivity w.r.t frequency

../../_images/fig_cumu_mfp7033.png

(b) Spectral and cumulative thermal conductivity w.r.t MFP

Force constants

../../_images/fig_fc216012.png

(a) Force constants w.r.t atomic distance

Summary

../../_images/fig_kappa13381.png

(a) Temperature-dependent lattice thermal conductivity

../../_images/fig_times26930.png

(b) Computation time