mp-1104440/Rb2MoS2O2/anharm

Equation of state

../../_images/fig_bm7741.png

(a) Equation of state

Harmonic properties

../../_images/fig_bandos_pr16619.png

(a) Phonon dispersion with participation ratio and DOS

../../_images/fig_bandos20985.png

(b) Phonon dispersion and DOS

../../_images/fig_thermo16618.png

(c) Thermodynamic properties

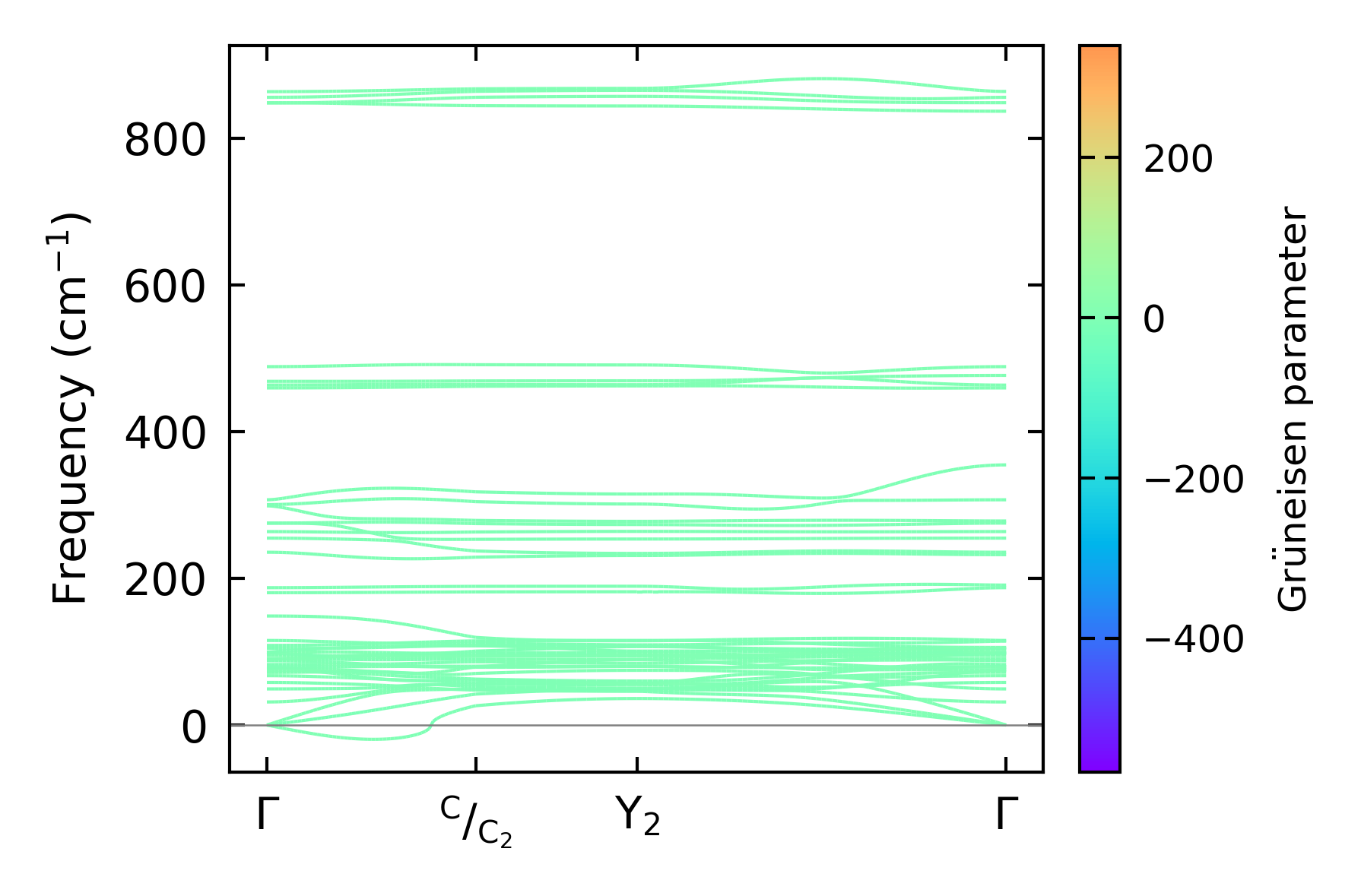
Grüneisen parameters

../../_images/fig_gru_all7220.png

(a) Grüneisen parameters

../../_images/fig_gruneisen7220.png

(b) Phonon dispersion with Grüneisen parameters

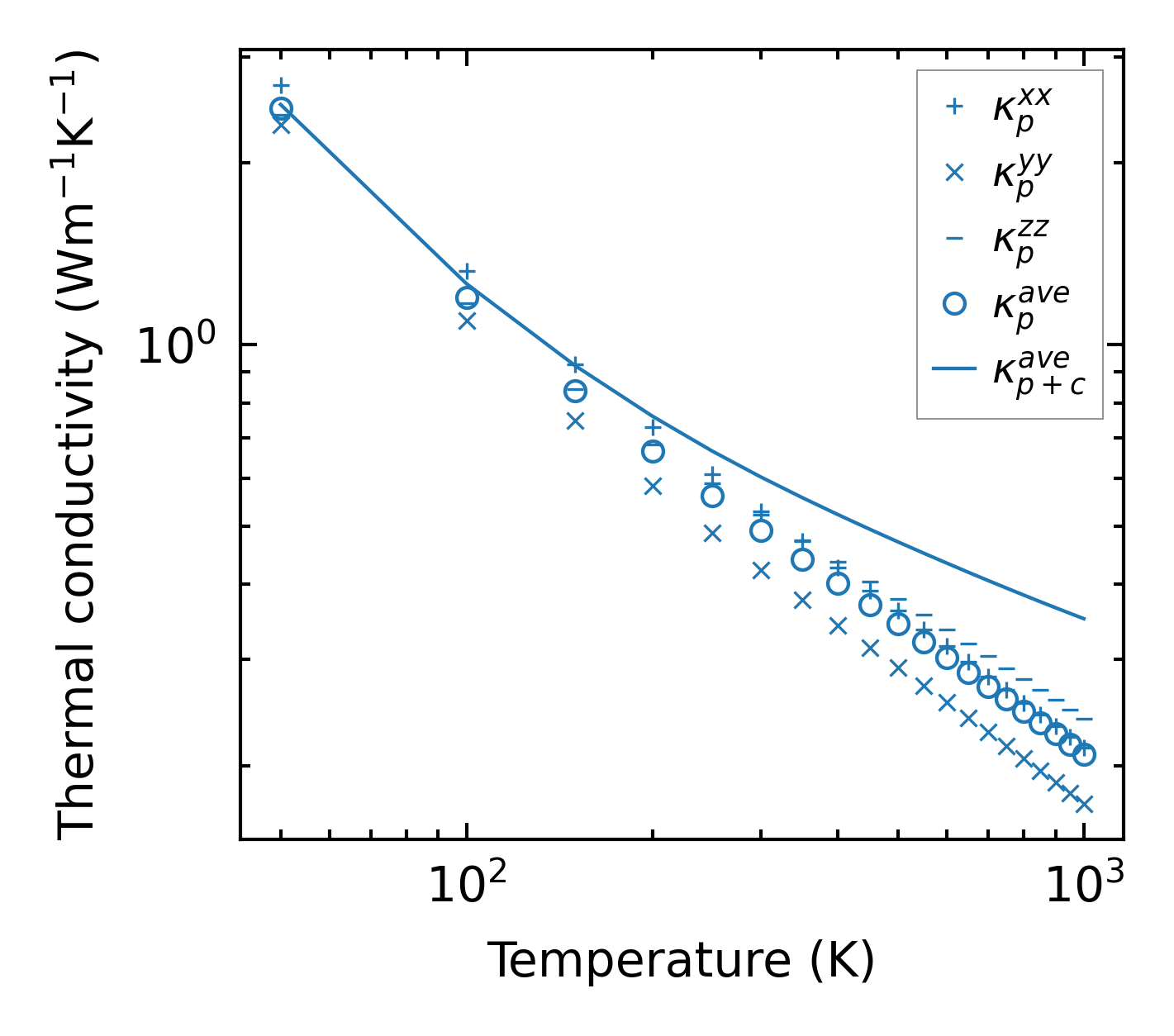
Thermal conductivity

3-phonon (LASSO), supercell 2x2x2 — q-mesh: 11x11x7, supercell: 2x2x2

../../_images/fig_kappa13614.png

(a) Temperature-dependent lattice thermal conductivity

../../_images/fig_kappa_vs_grain_size7306.png

(b) Peierls lattice thermal conductivity w.r.t grain size

Phonon lifetime and scattering rates

../../_images/fig_lifetime7154.png

(a) Phonon lifetime due to phonon-phonon scattering

../../_images/fig_scat_rates7153.png

(b) Phonon scattering rates

Cumulative and spectral thermal conductivity

../../_images/fig_cumu_frequency7154.png

(a) Spectral and cumulative thermal conductivity w.r.t frequency

../../_images/fig_cumu_mfp7153.png

(b) Spectral and cumulative thermal conductivity w.r.t MFP

Force constants

../../_images/fig_fc216191.png

(a) Force constants w.r.t atomic distance

Summary

../../_images/fig_times27175.png

(a) Computation time