mp-1104042/Sr2Zn2As3/anharm

Harmonic properties

../../_images/fig_bandos_pr16600.png

(a) Phonon dispersion with participation ratio and DOS

../../_images/fig_thermo16599.png

(b) Thermodynamic properties

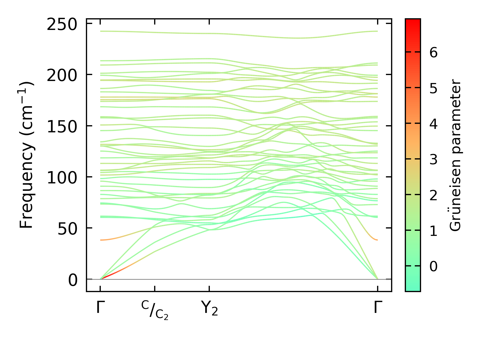
Grüneisen parameters

../../_images/fig_gru_all7207.png

(a) Grüneisen parameters

../../_images/fig_gruneisen7207.png

(b) Phonon dispersion with Grüneisen parameters

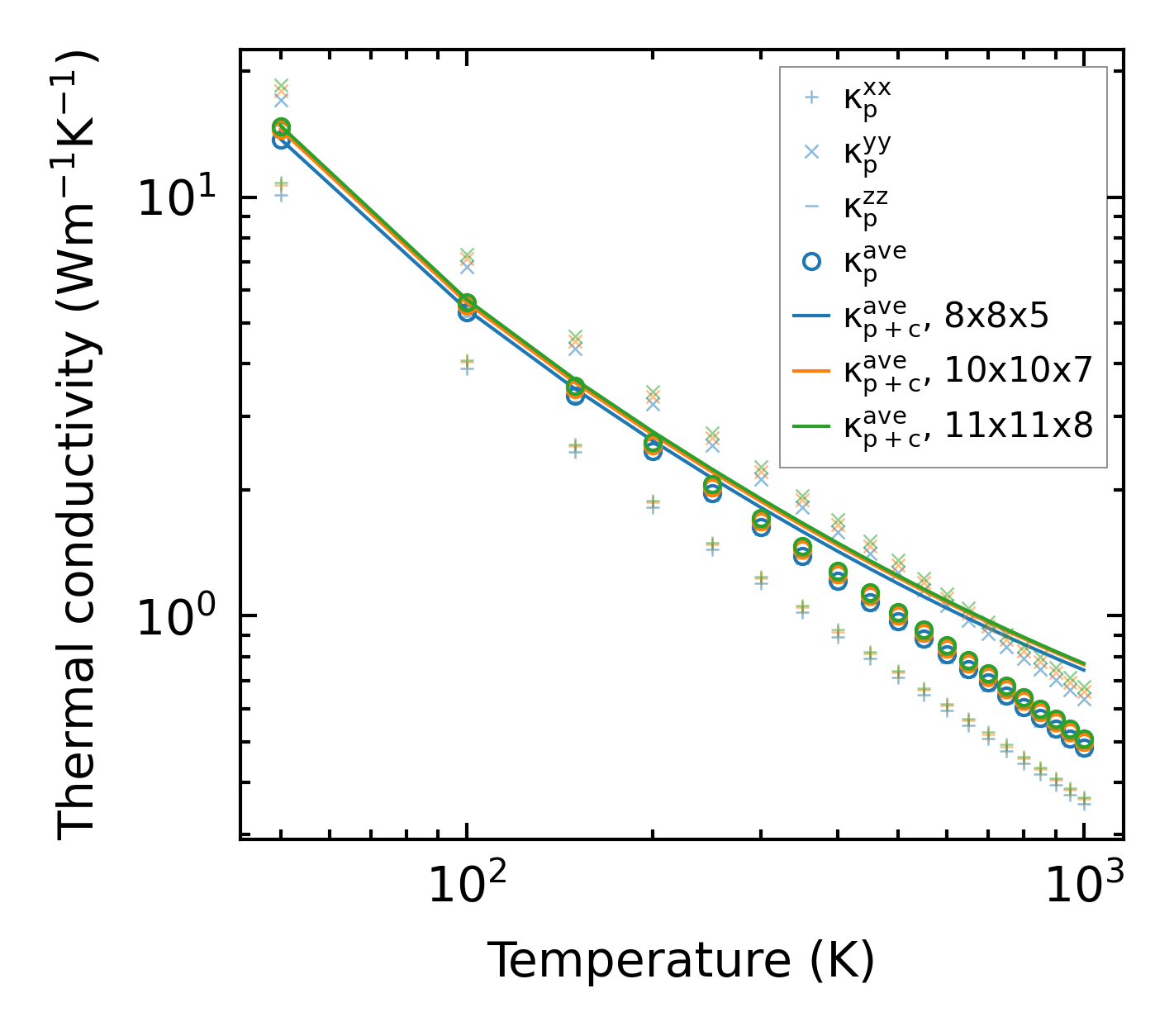
Thermal conductivity

3-phonon (LASSO) — q-mesh: 11x11x8, supercell: 1x3x1

../../_images/fig_kappa13591.png

(a) Temperature-dependent lattice thermal conductivity

../../_images/fig_kappa_vs_grain_size7293.png

(b) Peierls lattice thermal conductivity w.r.t grain size

Phonon lifetime and scattering rates

../../_images/fig_lifetime7141.png

(a) Phonon lifetime due to phonon-phonon scattering

../../_images/fig_scat_rates7140.png

(b) Phonon scattering rates

Cumulative and spectral thermal conductivity

../../_images/fig_cumu_frequency7141.png

(a) Spectral and cumulative thermal conductivity w.r.t frequency

../../_images/fig_cumu_mfp7140.png

(b) Spectral and cumulative thermal conductivity w.r.t MFP

Force constants

../../_images/fig_fc216173.png

(a) Force constants w.r.t atomic distance

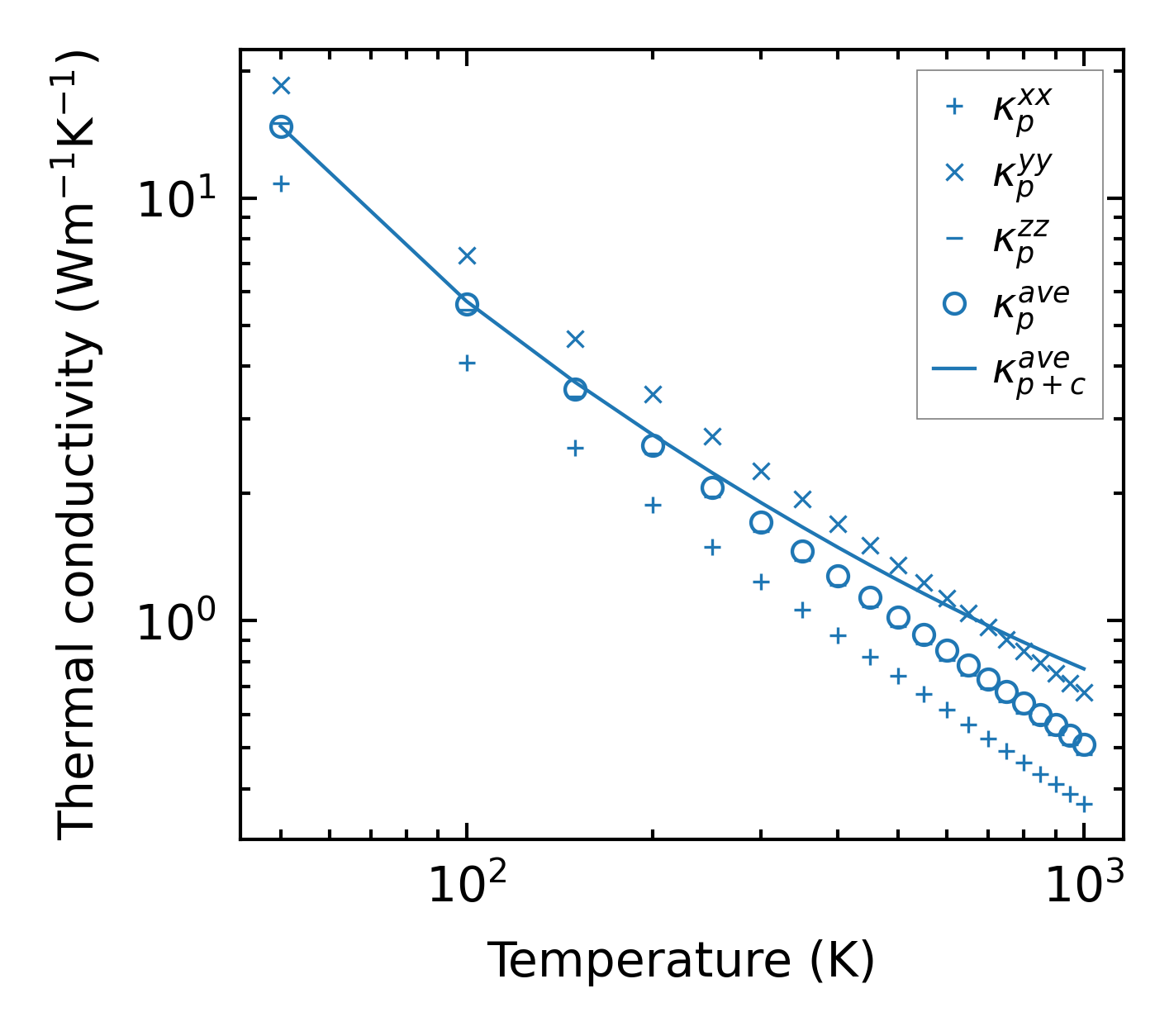
Summary

../../_images/fig_kappa13592.png

(a) Temperature-dependent lattice thermal conductivity

../../_images/fig_times27150.png

(b) Computation time