mp-1104357-2/K2MoS2O2/harm

Harmonic properties

../../_images/fig_bandos_pr16612.png

(a) Phonon dispersion with participation ratio and DOS

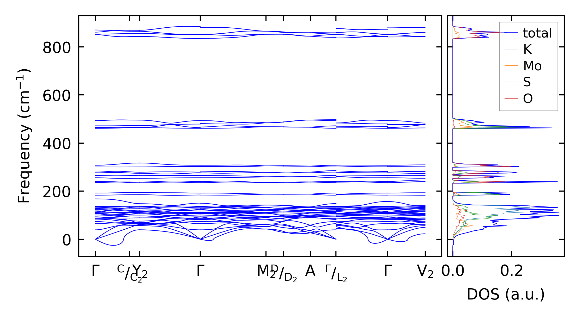
../../_images/fig_bandos20979.png

(b) Phonon dispersion and DOS

../../_images/fig_thermo16611.png

(c) Thermodynamic properties

Force constants

../../_images/fig_fc216184.png

(a) Force constants w.r.t atomic distance

Summary

../../_images/fig_times27168.png

(a) Computation time