mp-1104411/Hg3Bi2S2Cl8/anharm

Equation of state

../../_images/fig_bm7740.png

(a) Equation of state

Harmonic properties

../../_images/fig_bandos_pr16616.png

(a) Phonon dispersion with participation ratio and DOS

../../_images/fig_bandos20982.png

(b) Phonon dispersion and DOS

../../_images/fig_thermo16615.png

(c) Thermodynamic properties

Grüneisen parameters

../../_images/fig_gru_all7219.png

(a) Grüneisen parameters

../../_images/fig_gruneisen7219.png

(b) Phonon dispersion with Grüneisen parameters

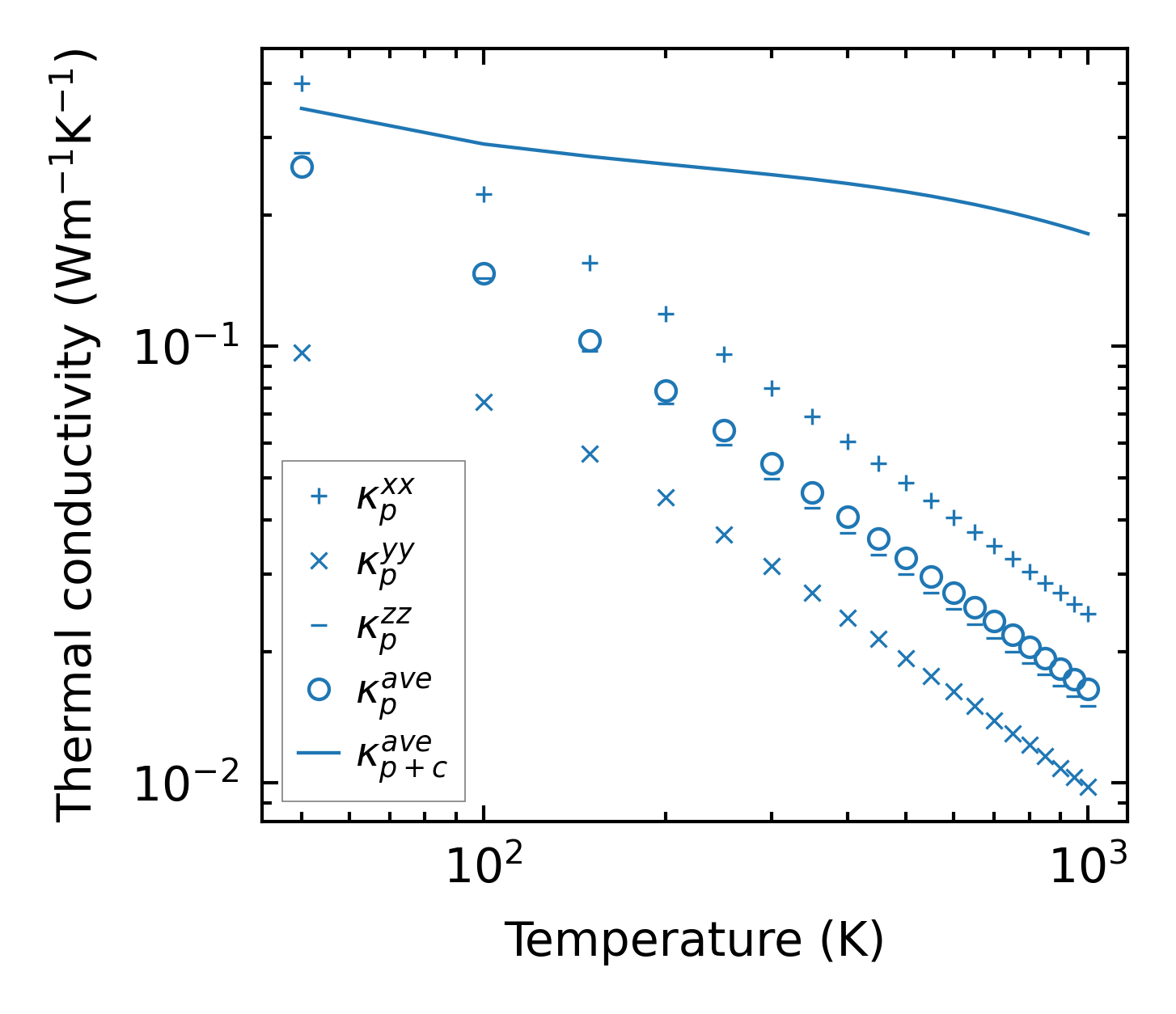
Thermal conductivity

3-phonon (LASSO), supercell 2x2x2 — q-mesh: 10x10x8, supercell: 2x2x2

../../_images/fig_kappa13613.png

(a) Temperature-dependent lattice thermal conductivity

../../_images/fig_kappa_vs_grain_size7305.png

(b) Peierls lattice thermal conductivity w.r.t grain size

Phonon lifetime and scattering rates

../../_images/fig_lifetime7153.png

(a) Phonon lifetime due to phonon-phonon scattering

../../_images/fig_scat_rates7152.png

(b) Phonon scattering rates

Cumulative and spectral thermal conductivity

../../_images/fig_cumu_frequency7153.png

(a) Spectral and cumulative thermal conductivity w.r.t frequency

../../_images/fig_cumu_mfp7152.png

(b) Spectral and cumulative thermal conductivity w.r.t MFP

Force constants

../../_images/fig_fc216188.png

(a) Force constants w.r.t atomic distance

Summary

../../_images/fig_times27172.png

(a) Computation time