mp-1104131/NbPO5/anharm

Harmonic properties

../../_images/fig_bandos_pr16605.png

(a) Phonon dispersion with participation ratio and DOS

../../_images/fig_thermo16604.png

(b) Thermodynamic properties

Grüneisen parameters

../../_images/fig_gru_all7212.png

(a) Grüneisen parameters

../../_images/fig_gruneisen7212.png

(b) Phonon dispersion with Grüneisen parameters

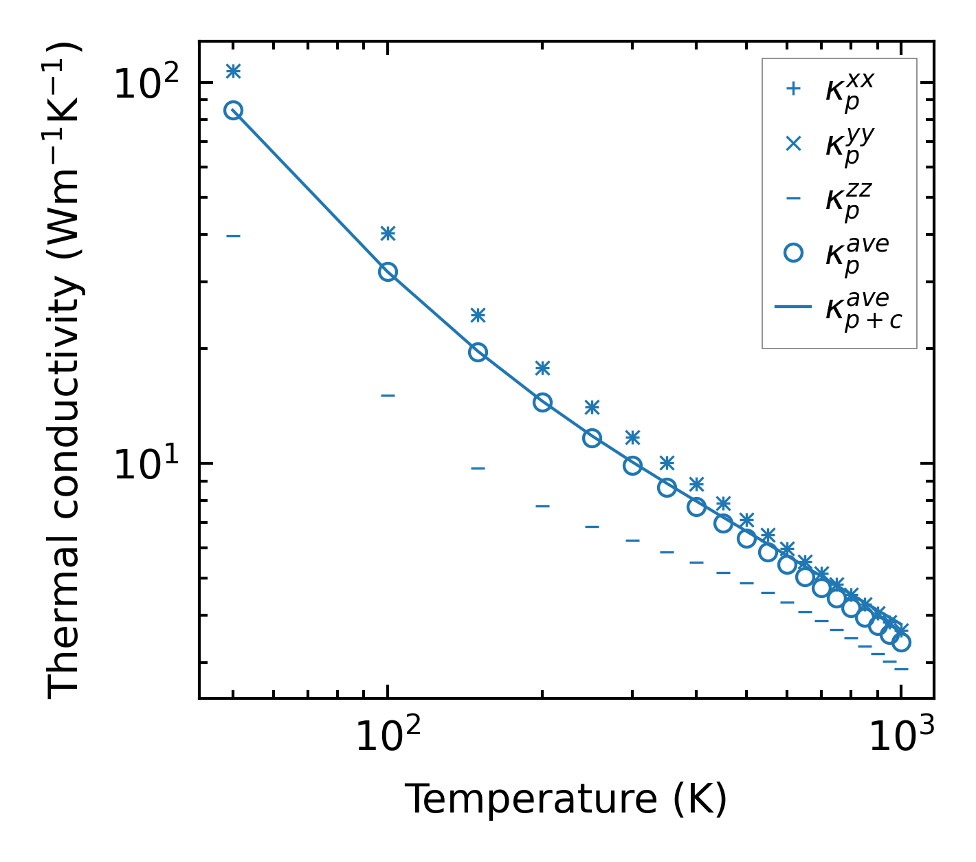
Thermal conductivity

3-phonon (LASSO) — q-mesh: 11x11x17, supercell: 2x2x2

../../_images/fig_kappa13600.png

(a) Temperature-dependent lattice thermal conductivity

../../_images/fig_kappa_vs_grain_size7298.png

(b) Peierls lattice thermal conductivity w.r.t grain size

Phonon lifetime and scattering rates

../../_images/fig_lifetime7146.png

(a) Phonon lifetime due to phonon-phonon scattering

../../_images/fig_scat_rates7145.png

(b) Phonon scattering rates

Cumulative and spectral thermal conductivity

../../_images/fig_cumu_frequency7146.png

(a) Spectral and cumulative thermal conductivity w.r.t frequency

../../_images/fig_cumu_mfp7145.png

(b) Spectral and cumulative thermal conductivity w.r.t MFP

Force constants

../../_images/fig_fc216177.png

(a) Force constants w.r.t atomic distance

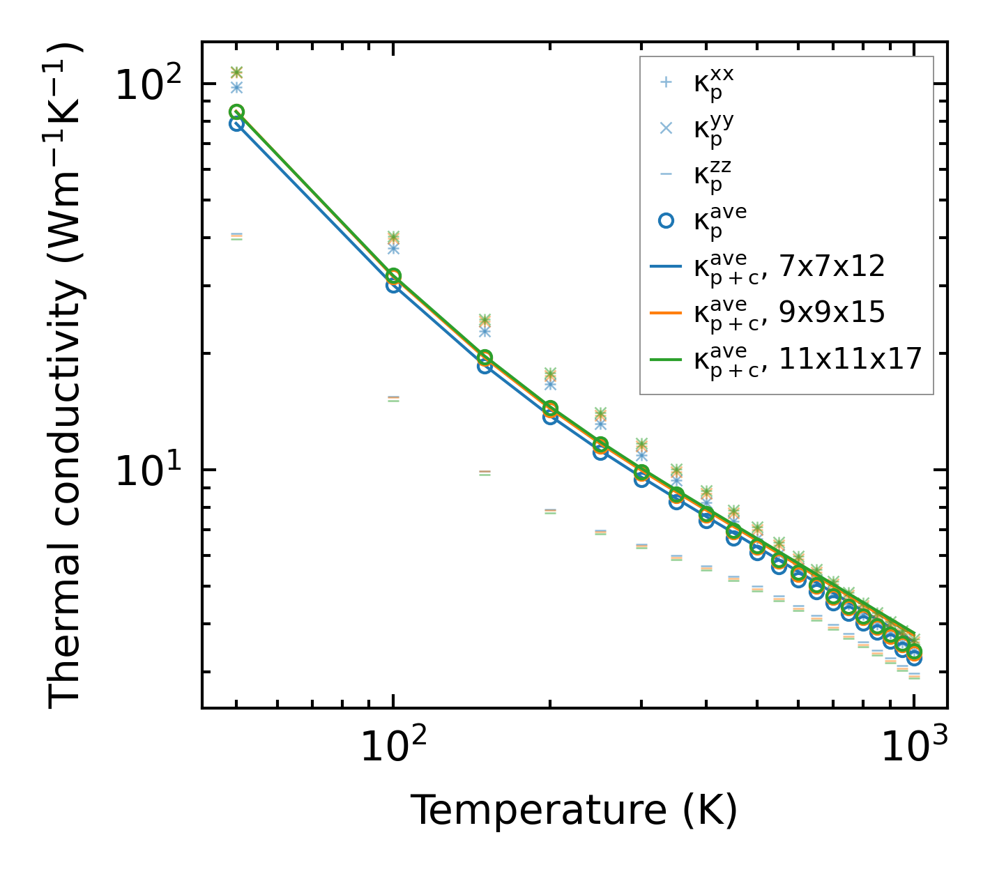
Summary

../../_images/fig_kappa13601.png

(a) Temperature-dependent lattice thermal conductivity

../../_images/fig_times27158.png

(b) Computation time