mp-1104073/C11N4/anharm

Harmonic properties

../../_images/fig_bandos_pr16603.png

(a) Phonon dispersion with participation ratio and DOS

../../_images/fig_thermo16602.png

(b) Thermodynamic properties

Grüneisen parameters

../../_images/fig_gru_all7210.png

(a) Grüneisen parameters

../../_images/fig_gruneisen7210.png

(b) Phonon dispersion with Grüneisen parameters

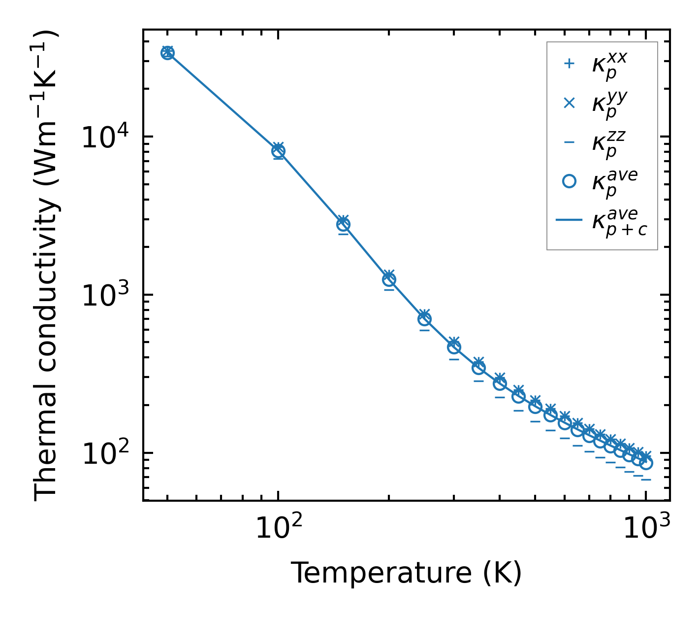
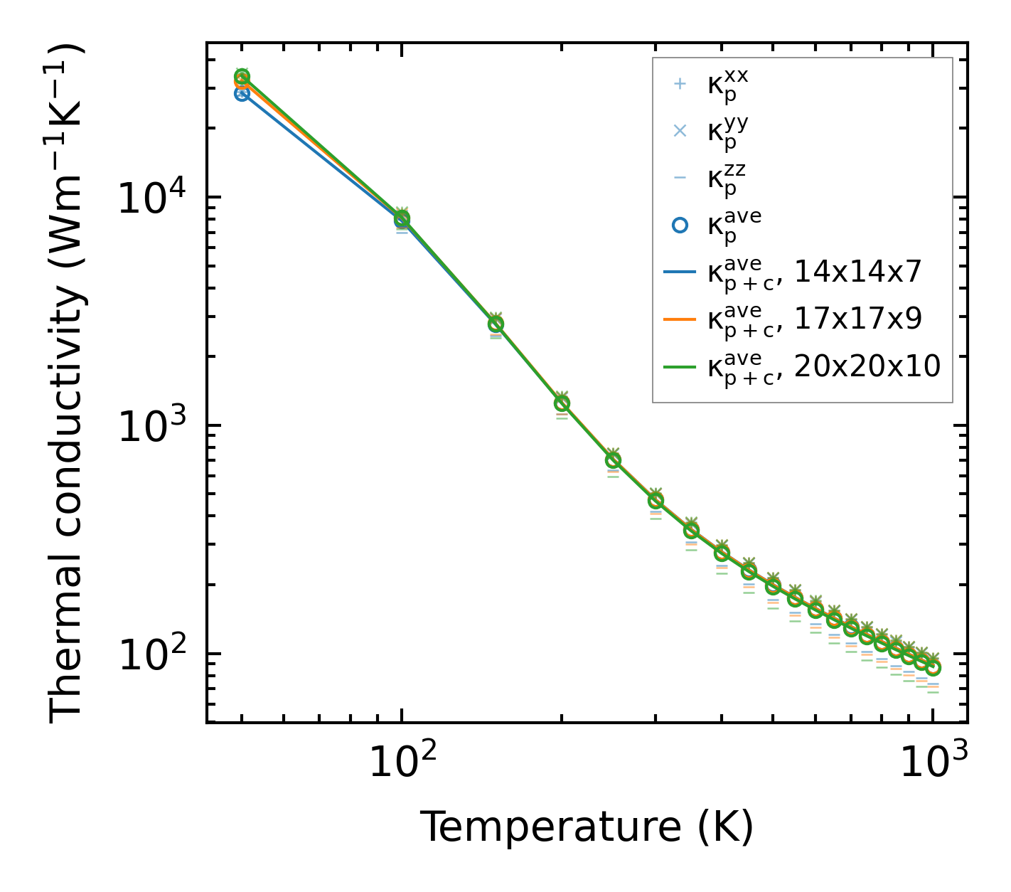
Thermal conductivity

3-phonon (LASSO) — q-mesh: 20x20x10, supercell: 2x2x2

../../_images/fig_kappa13596.png

(a) Temperature-dependent lattice thermal conductivity

../../_images/fig_kappa_vs_grain_size7296.png

(b) Peierls lattice thermal conductivity w.r.t grain size

Phonon lifetime and scattering rates

../../_images/fig_lifetime7144.png

(a) Phonon lifetime due to phonon-phonon scattering

../../_images/fig_scat_rates7143.png

(b) Phonon scattering rates

Cumulative and spectral thermal conductivity

../../_images/fig_cumu_frequency7144.png

(a) Spectral and cumulative thermal conductivity w.r.t frequency

../../_images/fig_cumu_mfp7143.png

(b) Spectral and cumulative thermal conductivity w.r.t MFP

Force constants

../../_images/fig_fc216176.png

(a) Force constants w.r.t atomic distance

Summary

../../_images/fig_kappa13597.png

(a) Temperature-dependent lattice thermal conductivity

../../_images/fig_times27155.png

(b) Computation time