mp-1104046-2/Tb3Se2NO/anharm

Equation of state

../../_images/fig_bm7738.png

(a) Equation of state

Harmonic properties

../../_images/fig_bandos_pr16601.png

(a) Phonon dispersion with participation ratio and DOS

../../_images/fig_bandos20971.png

(b) Phonon dispersion and DOS

../../_images/fig_thermo16600.png

(c) Thermodynamic properties

Grüneisen parameters

../../_images/fig_gru_all7208.png

(a) Grüneisen parameters

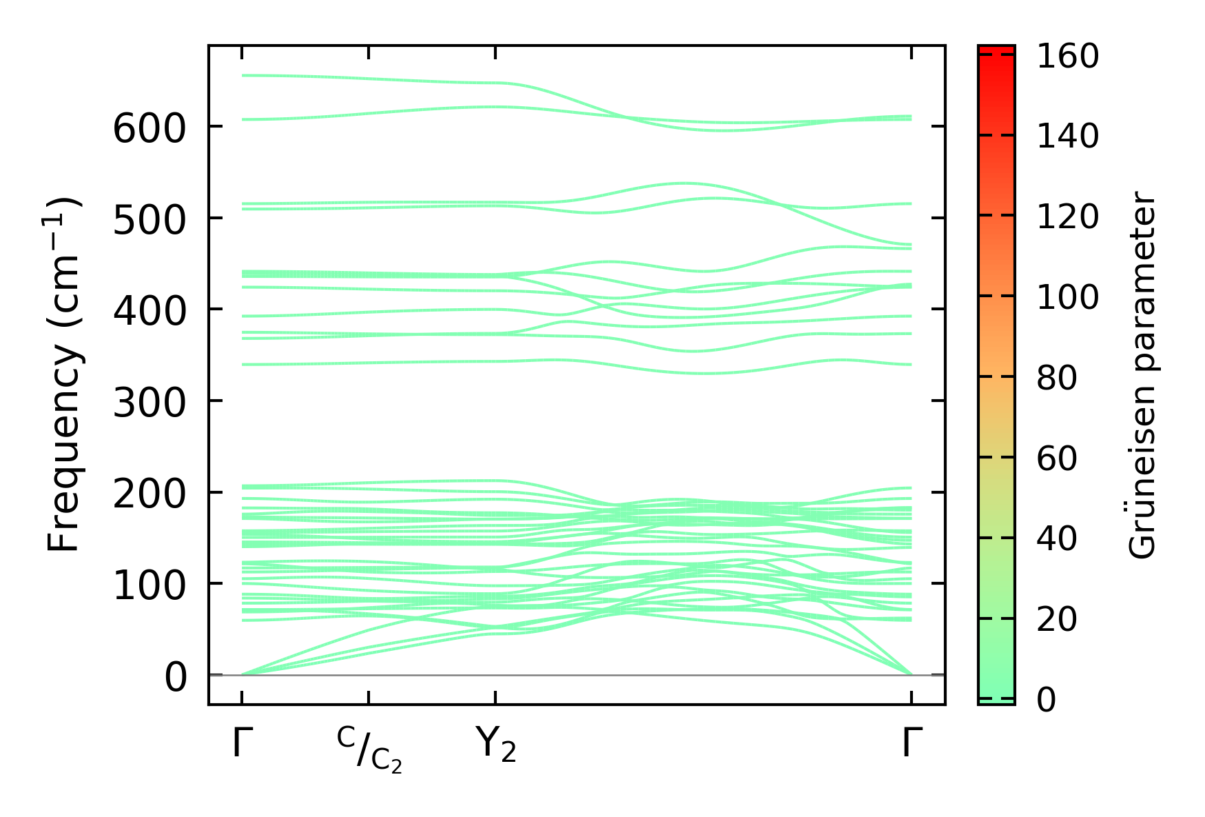
../../_images/fig_gruneisen7208.png

(b) Phonon dispersion with Grüneisen parameters

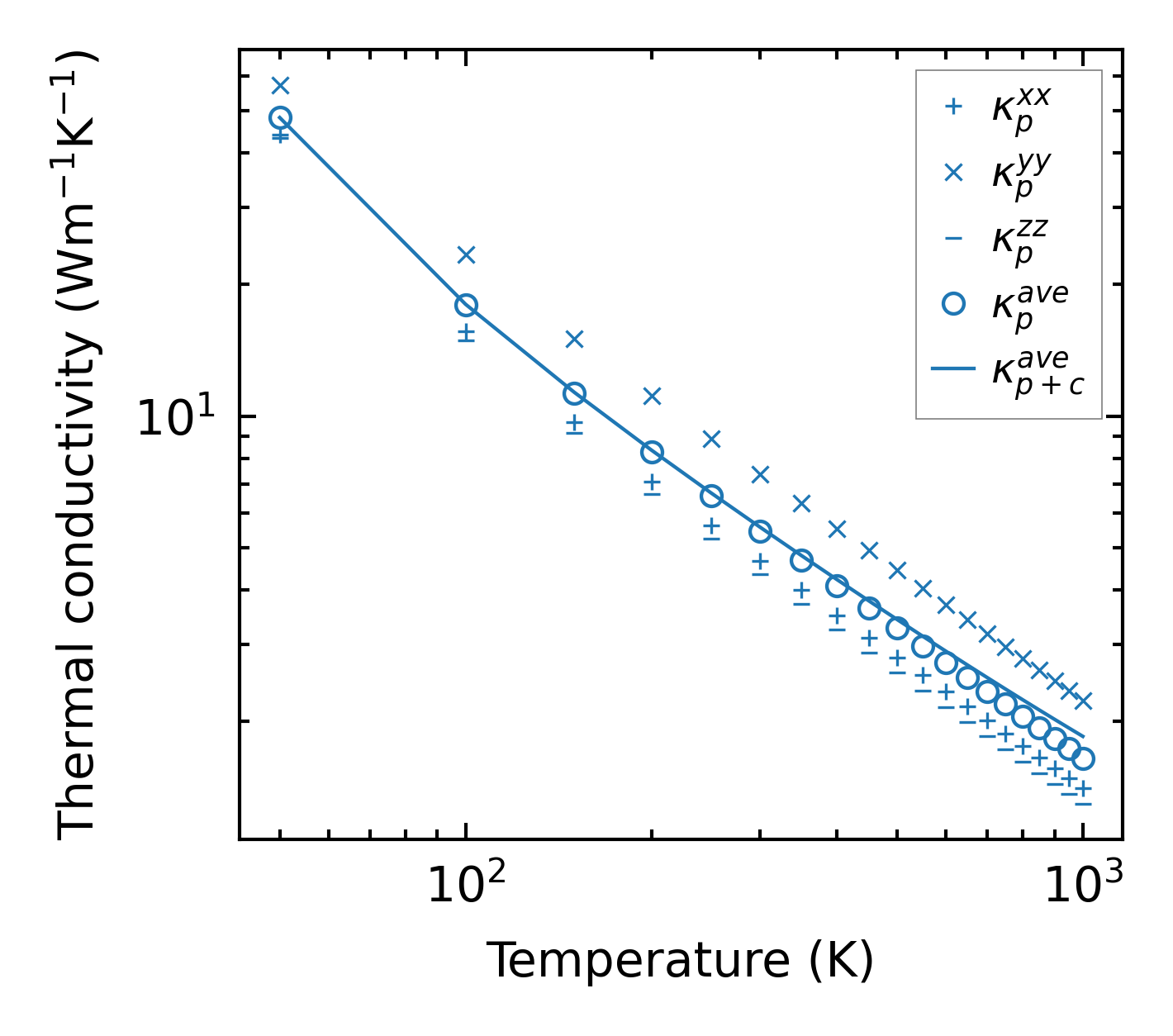
Thermal conductivity

3-phonon (LASSO), supercell 1x3x2 — q-mesh: 11x11x9, supercell: 1x3x2

../../_images/fig_kappa13593.png

(a) Temperature-dependent lattice thermal conductivity

../../_images/fig_kappa_vs_grain_size7294.png

(b) Peierls lattice thermal conductivity w.r.t grain size

Phonon lifetime and scattering rates

../../_images/fig_lifetime7142.png

(a) Phonon lifetime due to phonon-phonon scattering

../../_images/fig_scat_rates7141.png

(b) Phonon scattering rates

Cumulative and spectral thermal conductivity

../../_images/fig_cumu_frequency7142.png

(a) Spectral and cumulative thermal conductivity w.r.t frequency

../../_images/fig_cumu_mfp7141.png

(b) Spectral and cumulative thermal conductivity w.r.t MFP

Force constants

../../_images/fig_fc216174.png

(a) Force constants w.r.t atomic distance

Summary

../../_images/fig_times27152.png

(a) Computation time