mp-1104125/Y2CdSe4/anharm

Harmonic properties

../../_images/fig_bandos_pr16604.png

(a) Phonon dispersion with participation ratio and DOS

../../_images/fig_thermo16603.png

(b) Thermodynamic properties

Grüneisen parameters

../../_images/fig_gru_all7211.png

(a) Grüneisen parameters

../../_images/fig_gruneisen7211.png

(b) Phonon dispersion with Grüneisen parameters

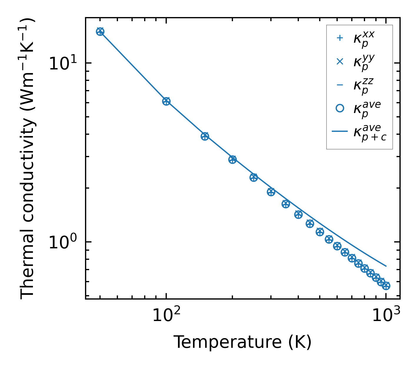
Thermal conductivity

3-phonon — q-mesh: 9x9x9, supercell: 1x1x1

../../_images/fig_kappa13598.png

(a) Temperature-dependent lattice thermal conductivity

../../_images/fig_kappa_vs_grain_size7297.png

(b) Peierls lattice thermal conductivity w.r.t grain size

Phonon lifetime and scattering rates

../../_images/fig_lifetime7145.png

(a) Phonon lifetime due to phonon-phonon scattering

../../_images/fig_scat_rates7144.png

(b) Phonon scattering rates

Cumulative and spectral thermal conductivity

../../_images/fig_cumu_frequency7145.png

(a) Spectral and cumulative thermal conductivity w.r.t frequency

../../_images/fig_cumu_mfp7144.png

(b) Spectral and cumulative thermal conductivity w.r.t MFP

Force constants

../../_images/fig_fc3428.png

(a) Force constants w.r.t atomic distance

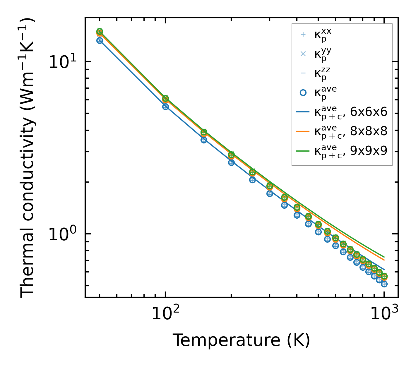
Summary

../../_images/fig_kappa13599.png

(a) Temperature-dependent lattice thermal conductivity

../../_images/fig_times27156.png

(b) Computation time