mp-1104024/Cs2GeSe4/anharm

Equation of state

../../_images/fig_bm7737.png

(a) Equation of state

Harmonic properties

../../_images/fig_bandos_pr16598.png

(a) Phonon dispersion with participation ratio and DOS

../../_images/fig_bandos20968.png

(b) Phonon dispersion and DOS

../../_images/fig_thermo16597.png

(c) Thermodynamic properties

Grüneisen parameters

../../_images/fig_gru_all7206.png

(a) Grüneisen parameters

../../_images/fig_gruneisen7206.png

(b) Phonon dispersion with Grüneisen parameters

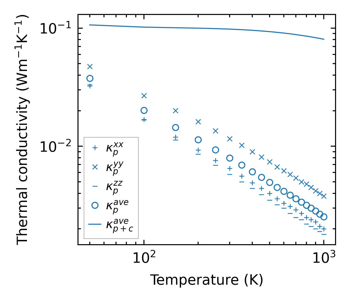
Thermal conductivity

3-phonon (LASSO), supercell 1x3x2 — q-mesh: 9x9x8, supercell: 1x3x2

../../_images/fig_kappa13590.png

(a) Temperature-dependent lattice thermal conductivity

../../_images/fig_kappa_vs_grain_size7292.png

(b) Peierls lattice thermal conductivity w.r.t grain size

Phonon lifetime and scattering rates

../../_images/fig_lifetime7140.png

(a) Phonon lifetime due to phonon-phonon scattering

../../_images/fig_scat_rates7139.png

(b) Phonon scattering rates

Cumulative and spectral thermal conductivity

../../_images/fig_cumu_frequency7140.png

(a) Spectral and cumulative thermal conductivity w.r.t frequency

../../_images/fig_cumu_mfp7139.png

(b) Spectral and cumulative thermal conductivity w.r.t MFP

Force constants

../../_images/fig_fc216171.png

(a) Force constants w.r.t atomic distance

Summary

../../_images/fig_times27148.png

(a) Computation time