mp-961713/ZrSnPt/anharm

Harmonic properties

../../_images/fig_bandos_pr986.png

(a) Phonon dispersion with participation ratio and DOS

../../_images/fig_thermo986.png

(b) Thermodynamic properties

Grüneisen parameters

../../_images/fig_gru_all609.png

(a) Grüneisen parameters

../../_images/fig_gruneisen609.png

(b) Phonon dispersion with Grüneisen parameters

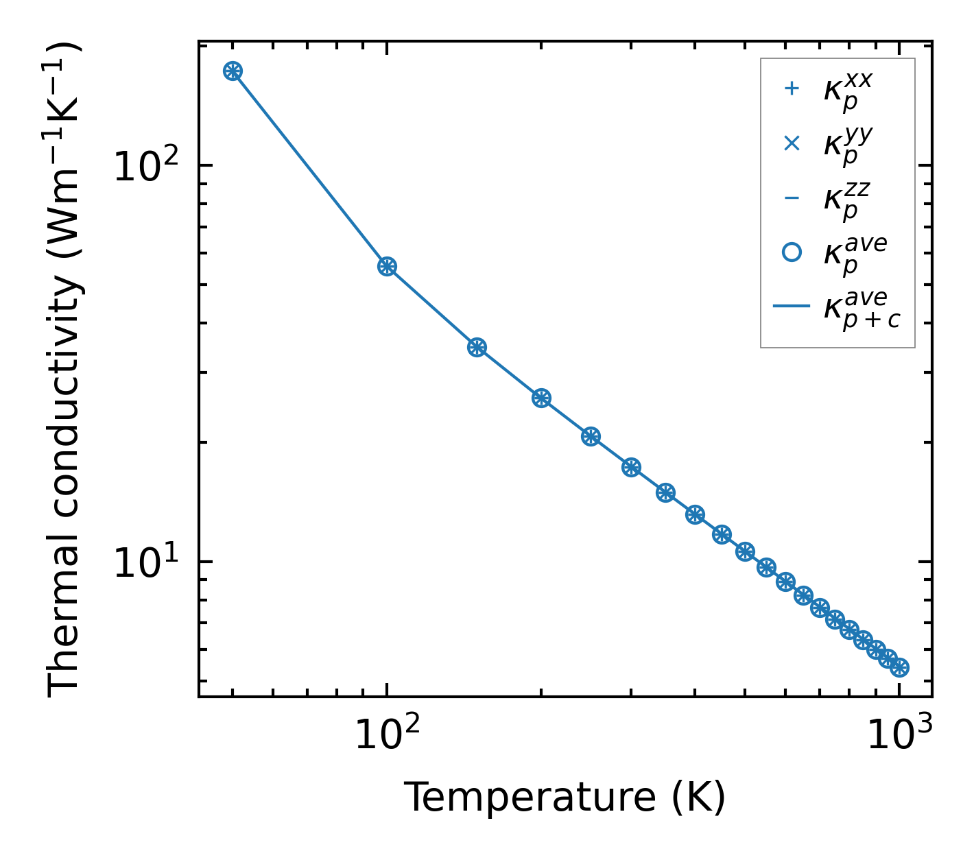
Thermal conductivity

3-phonon — q-mesh: 18x18x18, supercell: 2x2x2

../../_images/fig_kappa1186.png

(a) Temperature-dependent lattice thermal conductivity

../../_images/fig_kappa_vs_grain_size617.png

(b) Peierls lattice thermal conductivity w.r.t grain size

Phonon lifetime and scattering rates

../../_images/fig_lifetime607.png

(a) Phonon lifetime due to phonon-phonon scattering

../../_images/fig_scat_rates606.png

(b) Phonon scattering rates

Cumulative and spectral thermal conductivity

../../_images/fig_cumu_frequency607.png

(a) Spectral and cumulative thermal conductivity w.r.t frequency

../../_images/fig_cumu_mfp607.png

(b) Spectral and cumulative thermal conductivity w.r.t MFP

Force constants

../../_images/fig_fc3129.png

(a) Force constants w.r.t atomic distance

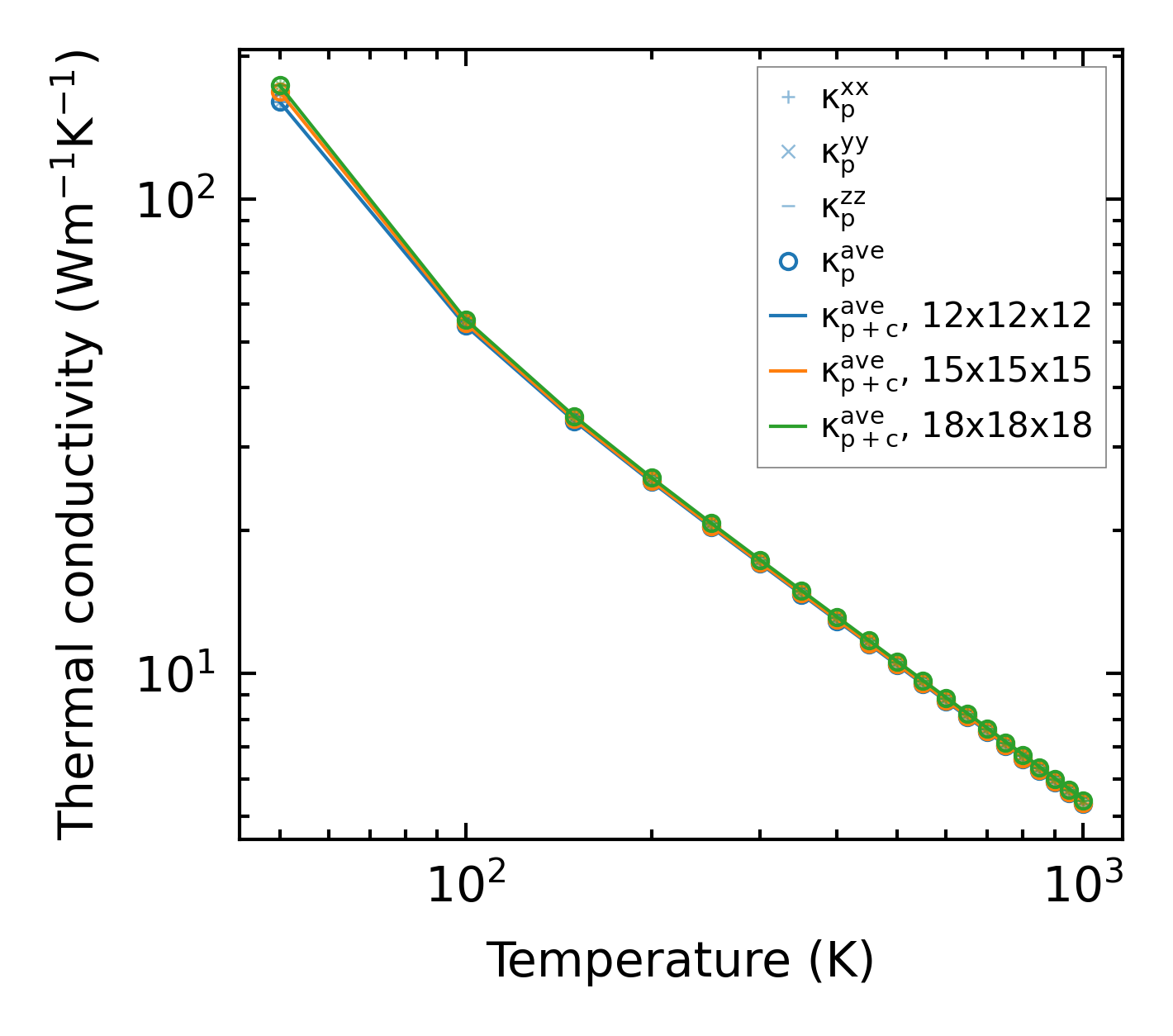
Summary

../../_images/fig_kappa1187.png

(a) Temperature-dependent lattice thermal conductivity

../../_images/fig_times1461.png

(b) Computation time