mp-961653/FeSiW/anharm

Harmonic properties

../../_images/fig_bandos_pr967.png

(a) Phonon dispersion with participation ratio and DOS

../../_images/fig_thermo967.png

(b) Thermodynamic properties

Grüneisen parameters

../../_images/fig_gru_all590.png

(a) Grüneisen parameters

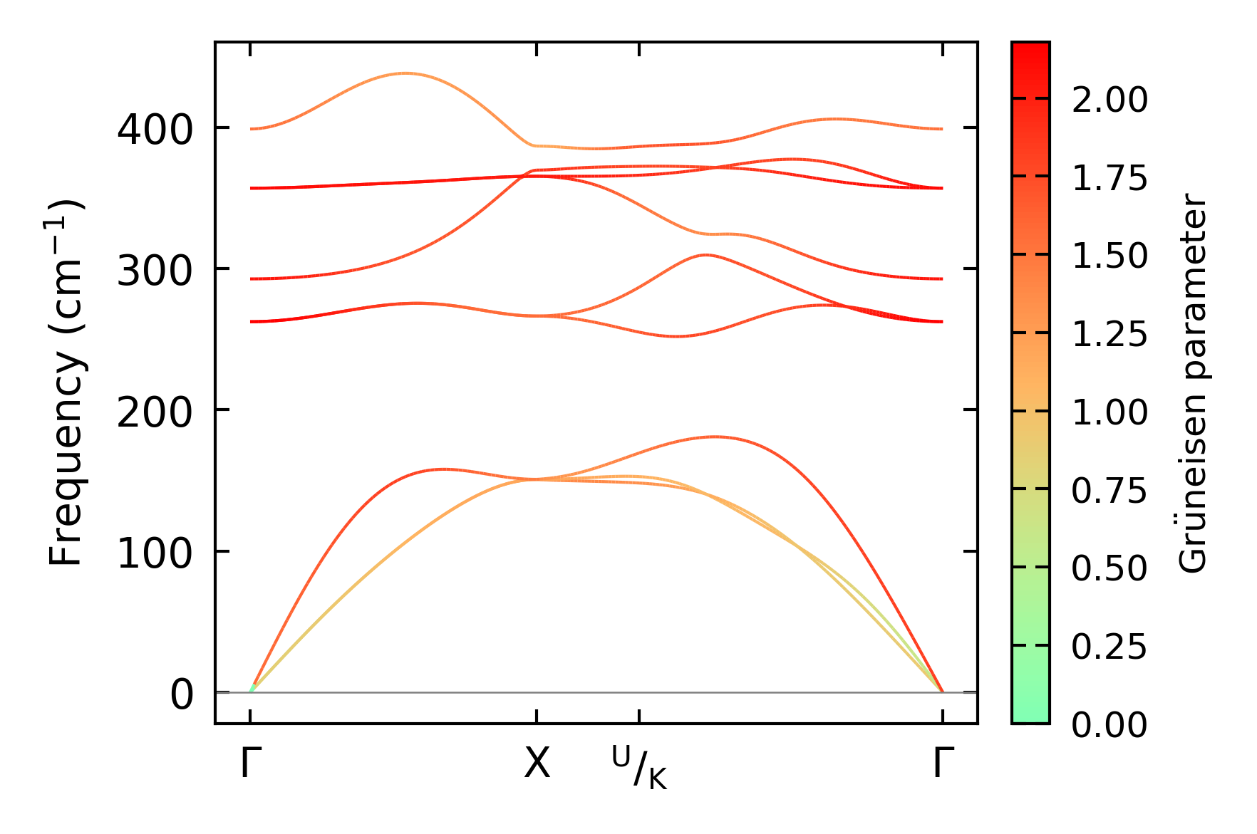
../../_images/fig_gruneisen590.png

(b) Phonon dispersion with Grüneisen parameters

Thermal conductivity

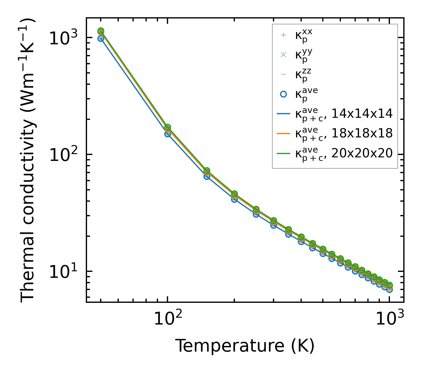
3-phonon — q-mesh: 20x20x20, supercell: 2x2x2

../../_images/fig_kappa1148.png

(a) Temperature-dependent lattice thermal conductivity

../../_images/fig_kappa_vs_grain_size598.png

(b) Peierls lattice thermal conductivity w.r.t grain size

Phonon lifetime and scattering rates

../../_images/fig_lifetime588.png

(a) Phonon lifetime due to phonon-phonon scattering

../../_images/fig_scat_rates587.png

(b) Phonon scattering rates

Cumulative and spectral thermal conductivity

../../_images/fig_cumu_frequency588.png

(a) Spectral and cumulative thermal conductivity w.r.t frequency

../../_images/fig_cumu_mfp588.png

(b) Spectral and cumulative thermal conductivity w.r.t MFP

Force constants

../../_images/fig_fc3111.png

(a) Force constants w.r.t atomic distance

Summary

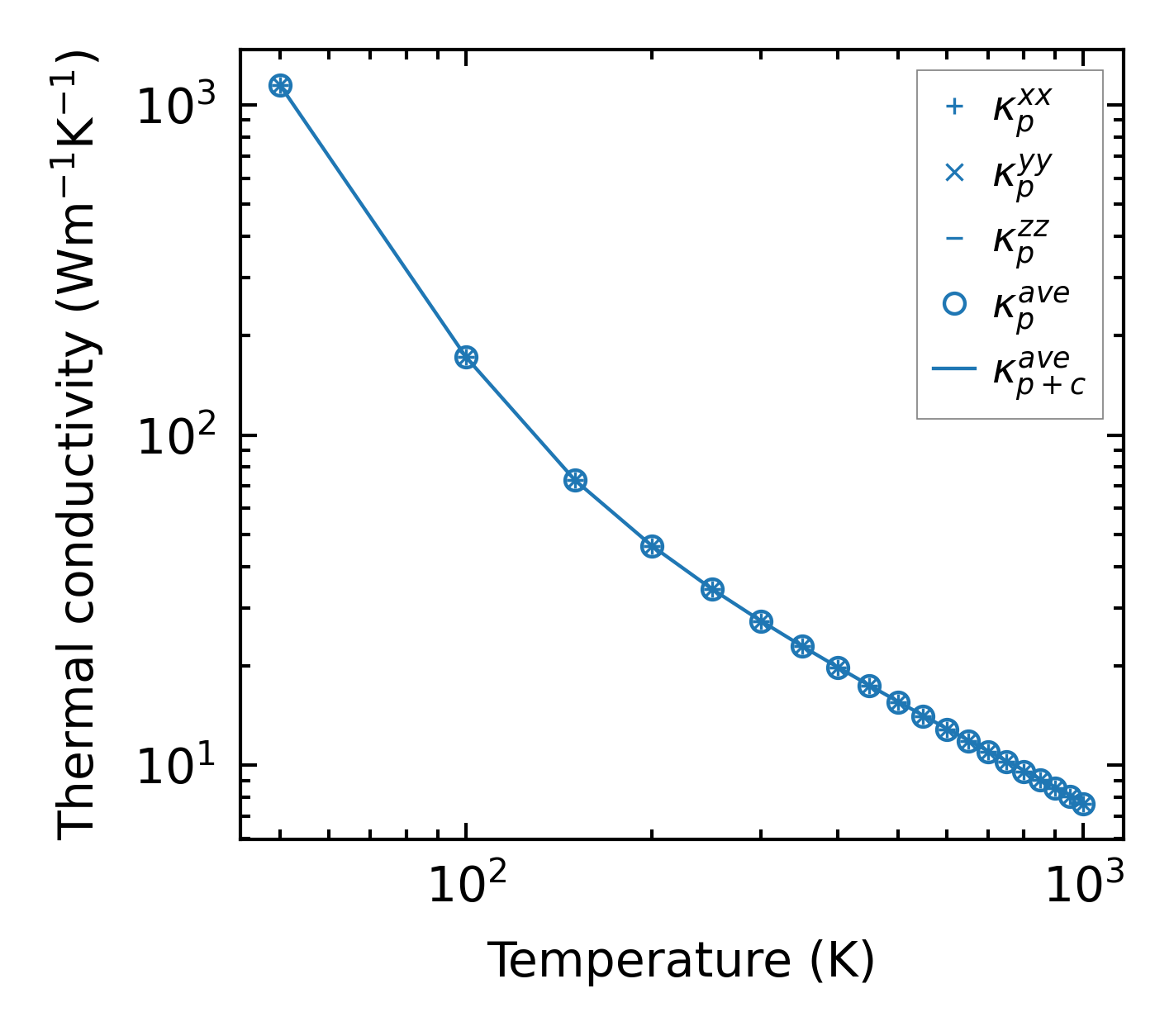
../../_images/fig_kappa1149.png

(a) Temperature-dependent lattice thermal conductivity

../../_images/fig_times1442.png

(b) Computation time