mp-961675/ScNiP/anharm

Harmonic properties

../../_images/fig_bandos_pr974.png

(a) Phonon dispersion with participation ratio and DOS

../../_images/fig_thermo974.png

(b) Thermodynamic properties

Grüneisen parameters

../../_images/fig_gru_all597.png

(a) Grüneisen parameters

../../_images/fig_gruneisen597.png

(b) Phonon dispersion with Grüneisen parameters

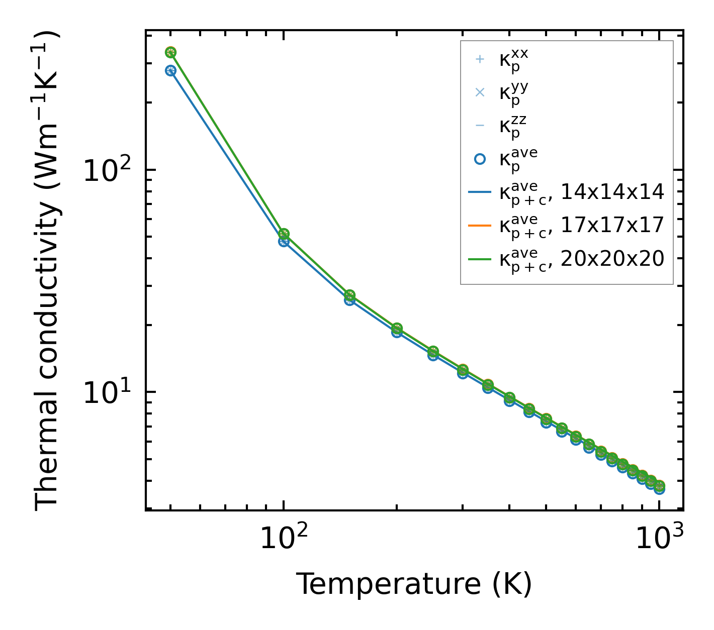
Thermal conductivity

3-phonon — q-mesh: 20x20x20, supercell: 2x2x2

../../_images/fig_kappa1162.png

(a) Temperature-dependent lattice thermal conductivity

../../_images/fig_kappa_vs_grain_size605.png

(b) Peierls lattice thermal conductivity w.r.t grain size

Phonon lifetime and scattering rates

../../_images/fig_lifetime595.png

(a) Phonon lifetime due to phonon-phonon scattering

../../_images/fig_scat_rates594.png

(b) Phonon scattering rates

Cumulative and spectral thermal conductivity

../../_images/fig_cumu_frequency595.png

(a) Spectral and cumulative thermal conductivity w.r.t frequency

../../_images/fig_cumu_mfp595.png

(b) Spectral and cumulative thermal conductivity w.r.t MFP

Force constants

../../_images/fig_fc3118.png

(a) Force constants w.r.t atomic distance

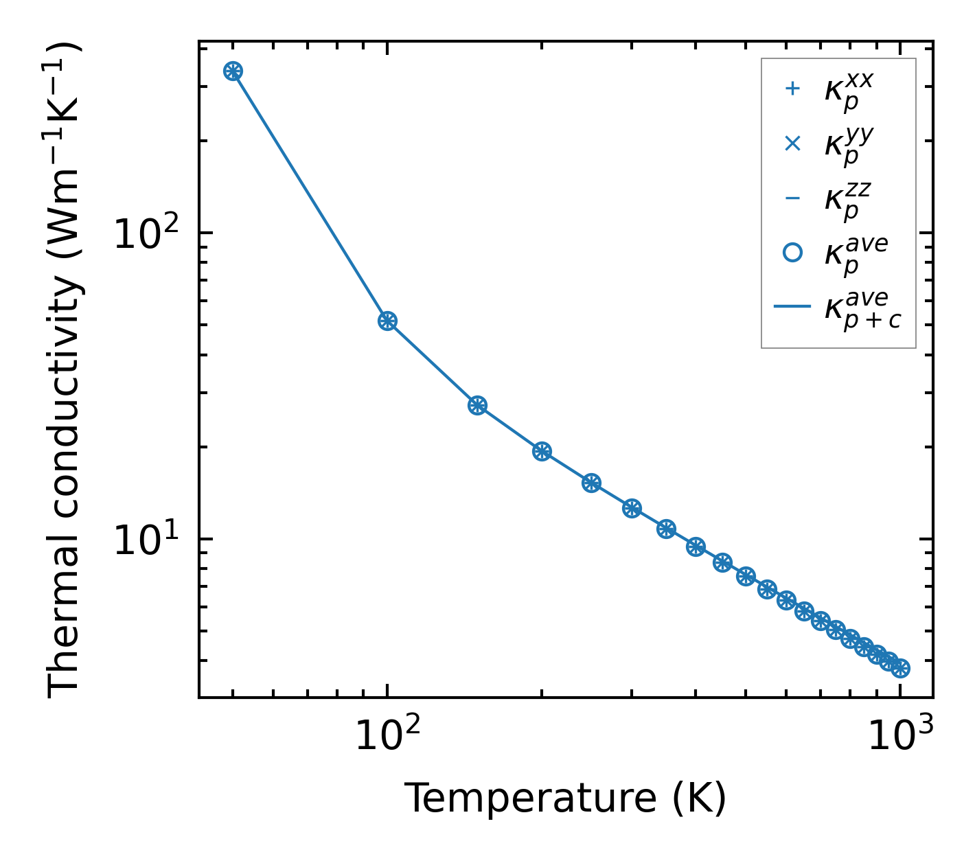
Summary

../../_images/fig_kappa1163.png

(a) Temperature-dependent lattice thermal conductivity

../../_images/fig_times1449.png

(b) Computation time