mp-961711/ZrSiPt/anharm

Harmonic properties

../../_images/fig_bandos_pr984.png

(a) Phonon dispersion with participation ratio and DOS

../../_images/fig_thermo984.png

(b) Thermodynamic properties

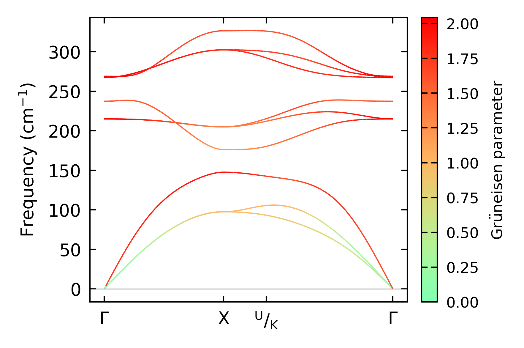
Grüneisen parameters

../../_images/fig_gru_all607.png

(a) Grüneisen parameters

../../_images/fig_gruneisen607.png

(b) Phonon dispersion with Grüneisen parameters

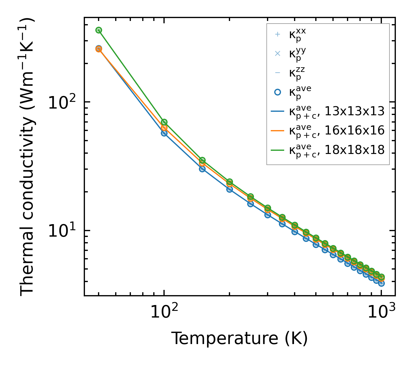
Thermal conductivity

3-phonon — q-mesh: 18x18x18, supercell: 2x2x2

../../_images/fig_kappa1182.png

(a) Temperature-dependent lattice thermal conductivity

../../_images/fig_kappa_vs_grain_size615.png

(b) Peierls lattice thermal conductivity w.r.t grain size

Phonon lifetime and scattering rates

../../_images/fig_lifetime605.png

(a) Phonon lifetime due to phonon-phonon scattering

../../_images/fig_scat_rates604.png

(b) Phonon scattering rates

Cumulative and spectral thermal conductivity

../../_images/fig_cumu_frequency605.png

(a) Spectral and cumulative thermal conductivity w.r.t frequency

../../_images/fig_cumu_mfp605.png

(b) Spectral and cumulative thermal conductivity w.r.t MFP

Force constants

../../_images/fig_fc3127.png

(a) Force constants w.r.t atomic distance

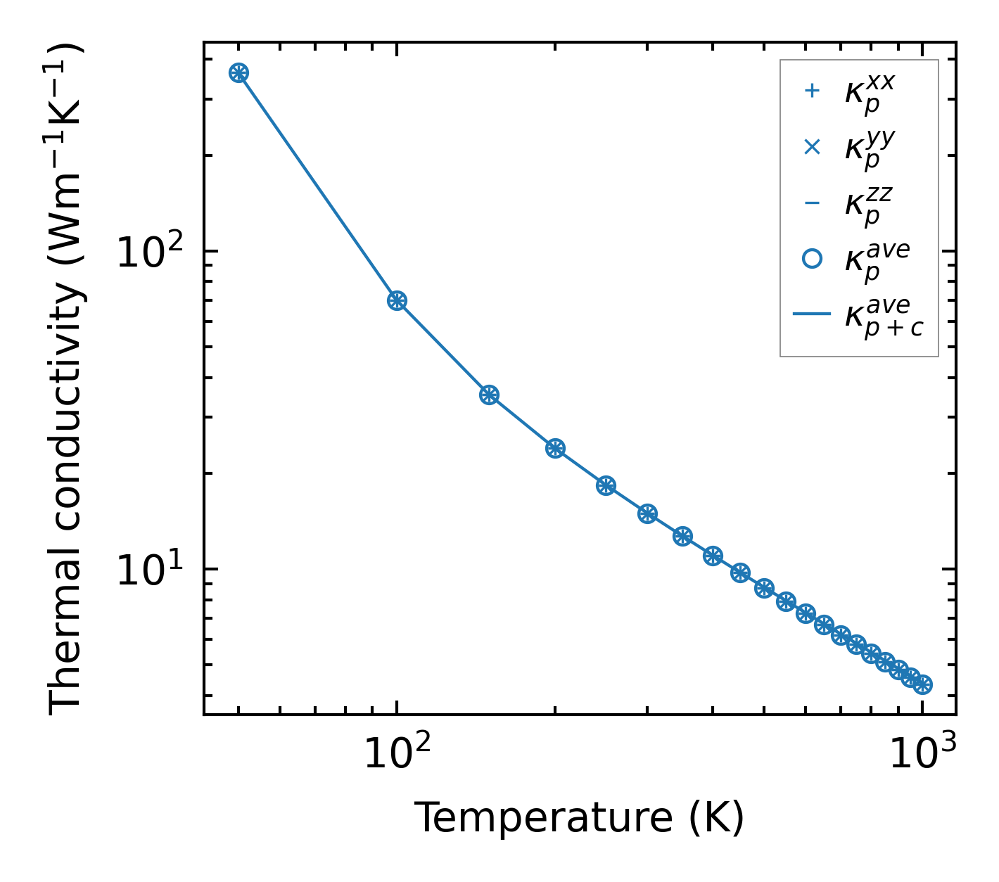
Summary

../../_images/fig_kappa1183.png

(a) Temperature-dependent lattice thermal conductivity

../../_images/fig_times1459.png

(b) Computation time