mp-961659/TiSiPd/anharm

Harmonic properties

../../_images/fig_bandos_pr969.png

(a) Phonon dispersion with participation ratio and DOS

../../_images/fig_thermo969.png

(b) Thermodynamic properties

Grüneisen parameters

../../_images/fig_gru_all592.png

(a) Grüneisen parameters

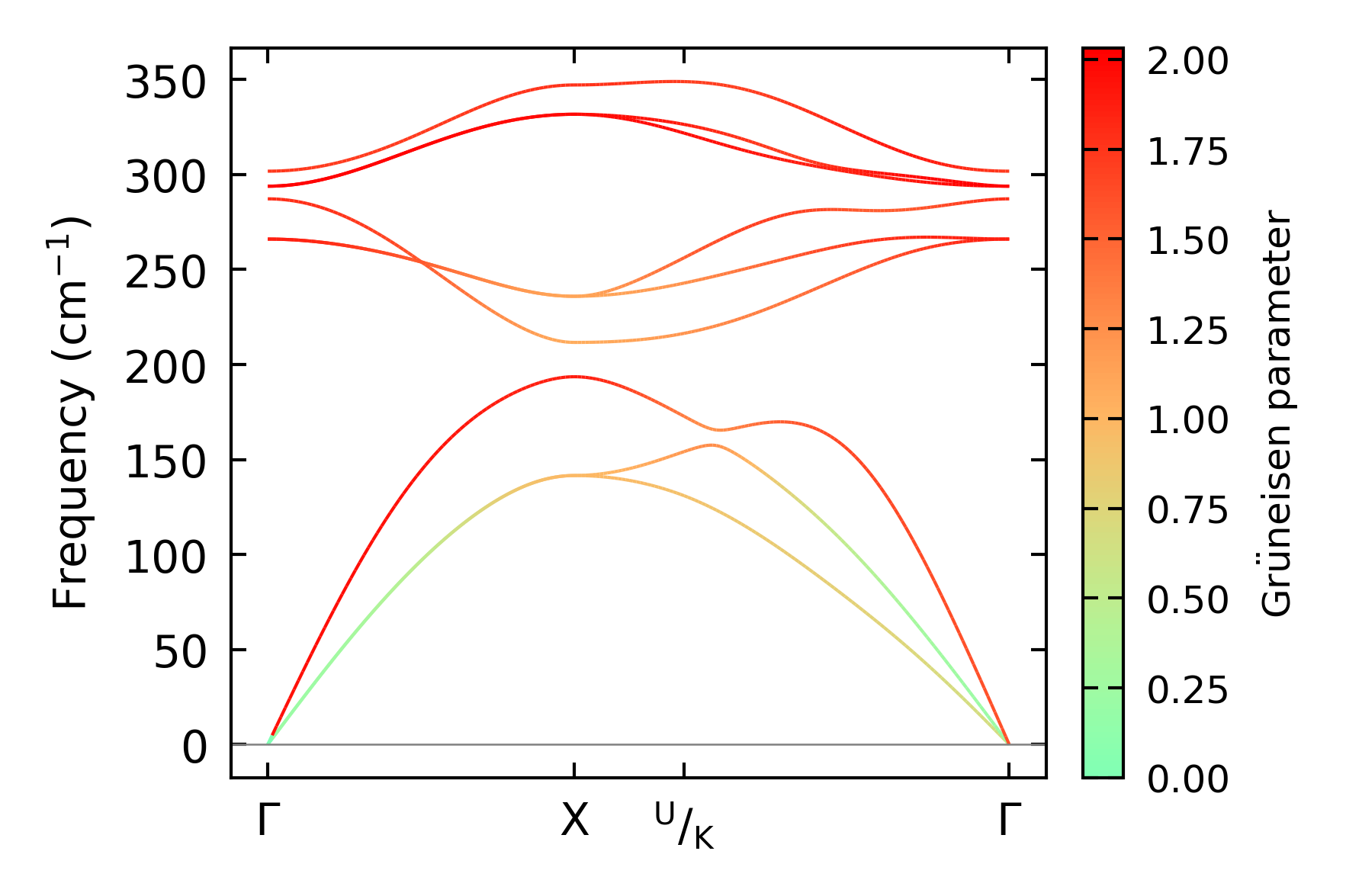
../../_images/fig_gruneisen592.png

(b) Phonon dispersion with Grüneisen parameters

Thermal conductivity

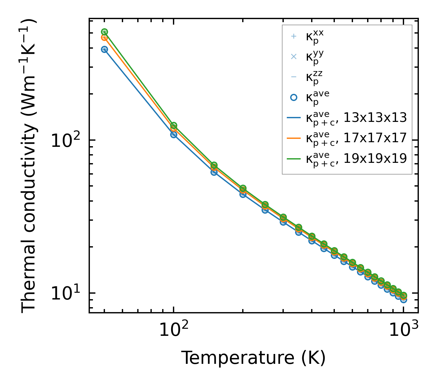
3-phonon — q-mesh: 19x19x19, supercell: 2x2x2

../../_images/fig_kappa1152.png

(a) Temperature-dependent lattice thermal conductivity

../../_images/fig_kappa_vs_grain_size600.png

(b) Peierls lattice thermal conductivity w.r.t grain size

Phonon lifetime and scattering rates

../../_images/fig_lifetime590.png

(a) Phonon lifetime due to phonon-phonon scattering

../../_images/fig_scat_rates589.png

(b) Phonon scattering rates

Cumulative and spectral thermal conductivity

../../_images/fig_cumu_frequency590.png

(a) Spectral and cumulative thermal conductivity w.r.t frequency

../../_images/fig_cumu_mfp590.png

(b) Spectral and cumulative thermal conductivity w.r.t MFP

Force constants

../../_images/fig_fc3113.png

(a) Force constants w.r.t atomic distance

Summary

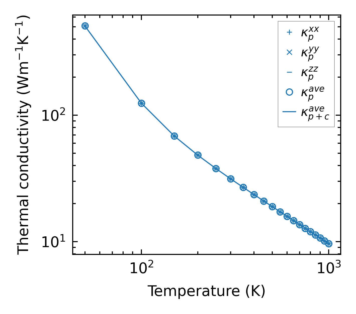
../../_images/fig_kappa1153.png

(a) Temperature-dependent lattice thermal conductivity

../../_images/fig_times1444.png

(b) Computation time