mp-961697/ScGeAu/anharm

Harmonic properties

../../_images/fig_bandos_pr982.png

(a) Phonon dispersion with participation ratio and DOS

../../_images/fig_thermo982.png

(b) Thermodynamic properties

Grüneisen parameters

../../_images/fig_gru_all605.png

(a) Grüneisen parameters

../../_images/fig_gruneisen605.png

(b) Phonon dispersion with Grüneisen parameters

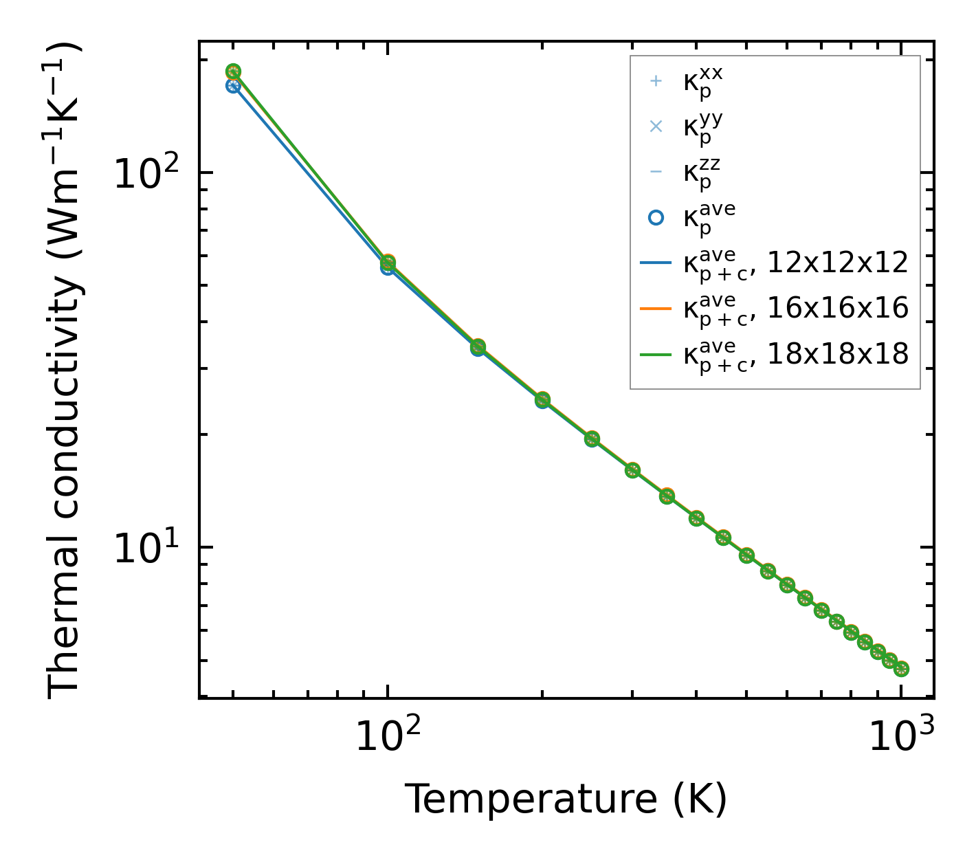
Thermal conductivity

3-phonon — q-mesh: 18x18x18, supercell: 2x2x2

../../_images/fig_kappa1178.png

(a) Temperature-dependent lattice thermal conductivity

../../_images/fig_kappa_vs_grain_size613.png

(b) Peierls lattice thermal conductivity w.r.t grain size

Phonon lifetime and scattering rates

../../_images/fig_lifetime603.png

(a) Phonon lifetime due to phonon-phonon scattering

../../_images/fig_scat_rates602.png

(b) Phonon scattering rates

Cumulative and spectral thermal conductivity

../../_images/fig_cumu_frequency603.png

(a) Spectral and cumulative thermal conductivity w.r.t frequency

../../_images/fig_cumu_mfp603.png

(b) Spectral and cumulative thermal conductivity w.r.t MFP

Force constants

../../_images/fig_fc3125.png

(a) Force constants w.r.t atomic distance

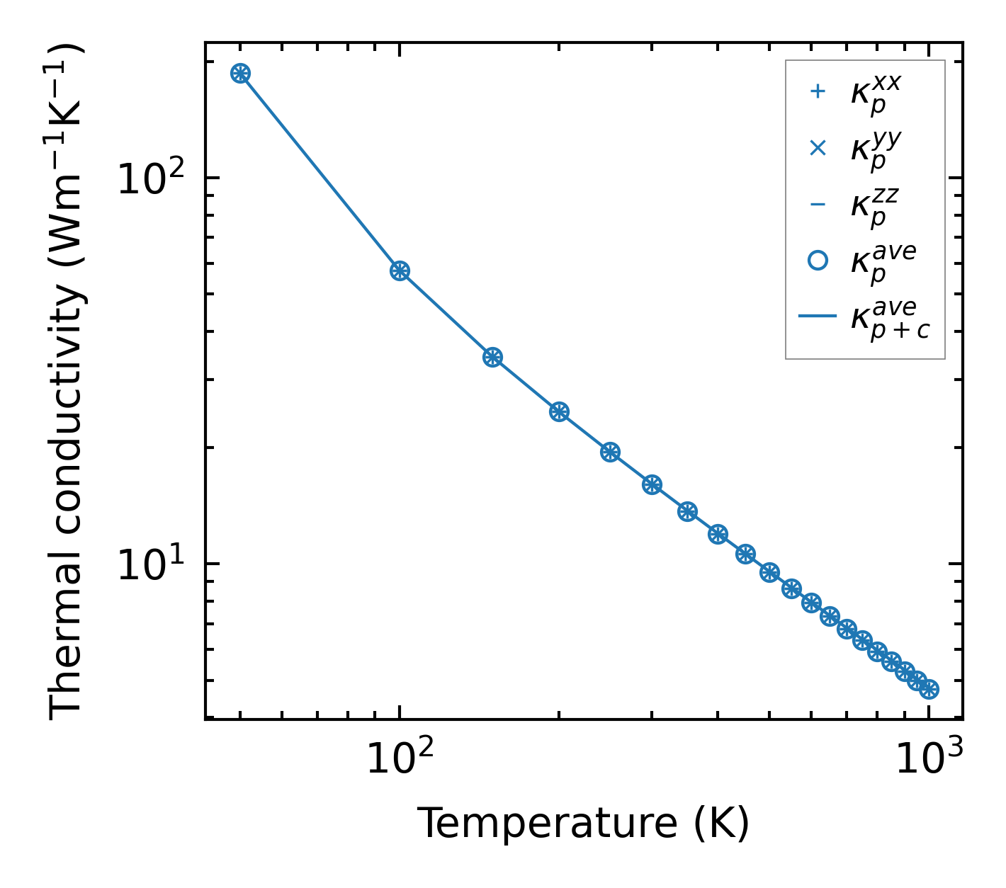
Summary

../../_images/fig_kappa1179.png

(a) Temperature-dependent lattice thermal conductivity

../../_images/fig_times1457.png

(b) Computation time