mp-961695/LaCoTe/anharm

Harmonic properties

../../_images/fig_bandos_pr981.png

(a) Phonon dispersion with participation ratio and DOS

../../_images/fig_thermo981.png

(b) Thermodynamic properties

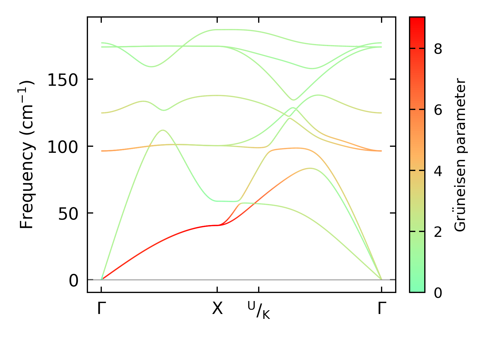
Grüneisen parameters

../../_images/fig_gru_all604.png

(a) Grüneisen parameters

../../_images/fig_gruneisen604.png

(b) Phonon dispersion with Grüneisen parameters

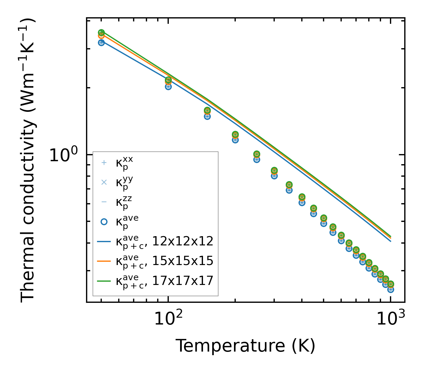
Thermal conductivity

3-phonon — q-mesh: 17x17x17, supercell: 2x2x2

../../_images/fig_kappa1176.png

(a) Temperature-dependent lattice thermal conductivity

../../_images/fig_kappa_vs_grain_size612.png

(b) Peierls lattice thermal conductivity w.r.t grain size

Phonon lifetime and scattering rates

../../_images/fig_lifetime602.png

(a) Phonon lifetime due to phonon-phonon scattering

../../_images/fig_scat_rates601.png

(b) Phonon scattering rates

Cumulative and spectral thermal conductivity

../../_images/fig_cumu_frequency602.png

(a) Spectral and cumulative thermal conductivity w.r.t frequency

../../_images/fig_cumu_mfp602.png

(b) Spectral and cumulative thermal conductivity w.r.t MFP

Force constants

../../_images/fig_fc3124.png

(a) Force constants w.r.t atomic distance

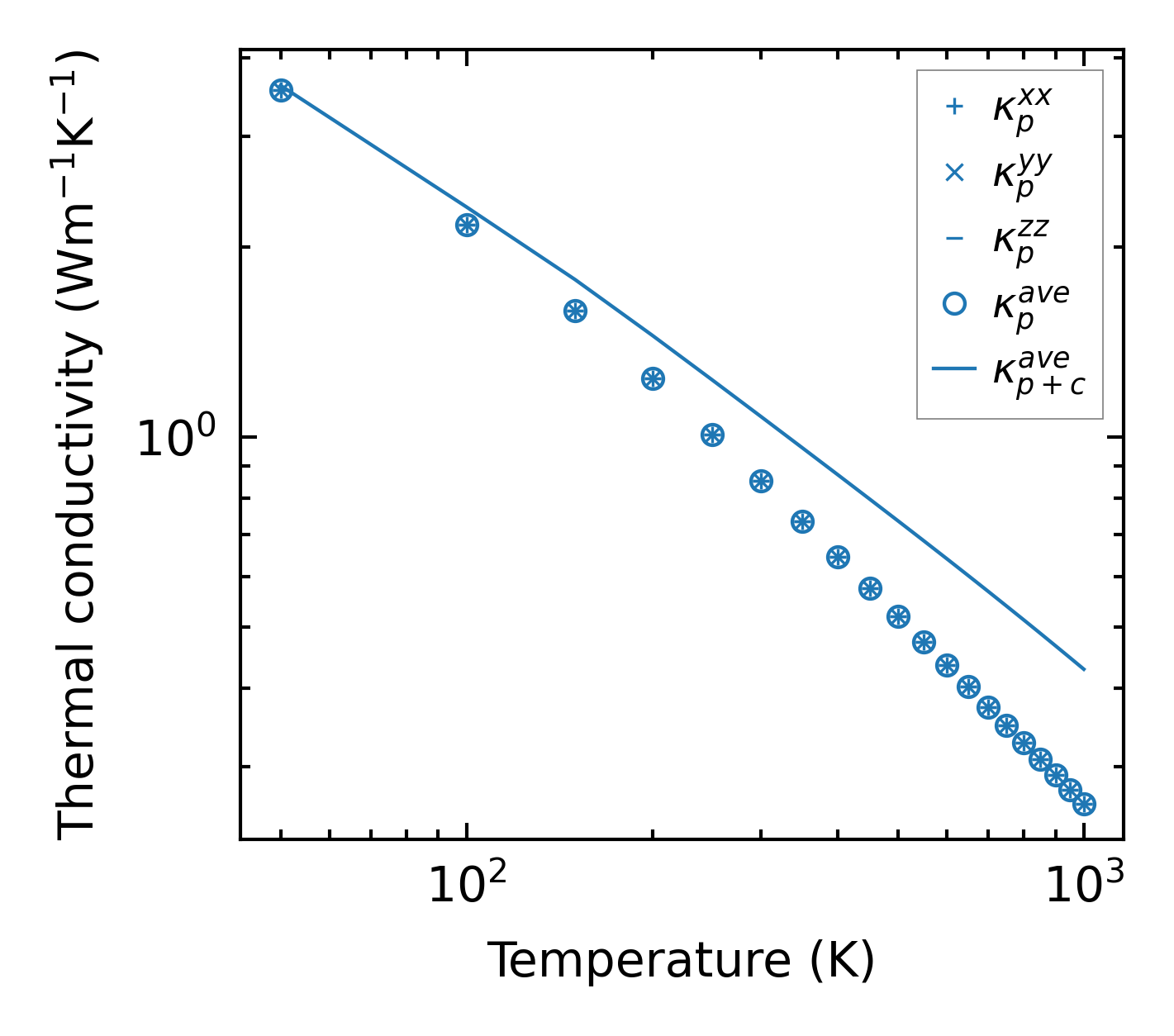
Summary

../../_images/fig_kappa1177.png

(a) Temperature-dependent lattice thermal conductivity

../../_images/fig_times1456.png

(b) Computation time