mp-961712/TaTlPt/anharm

Harmonic properties

../../_images/fig_bandos_pr985.png

(a) Phonon dispersion with participation ratio and DOS

../../_images/fig_thermo985.png

(b) Thermodynamic properties

Grüneisen parameters

../../_images/fig_gru_all608.png

(a) Grüneisen parameters

../../_images/fig_gruneisen608.png

(b) Phonon dispersion with Grüneisen parameters

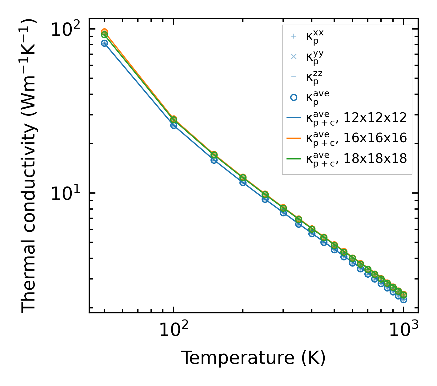
Thermal conductivity

3-phonon — q-mesh: 18x18x18, supercell: 2x2x2

../../_images/fig_kappa1184.png

(a) Temperature-dependent lattice thermal conductivity

../../_images/fig_kappa_vs_grain_size616.png

(b) Peierls lattice thermal conductivity w.r.t grain size

Phonon lifetime and scattering rates

../../_images/fig_lifetime606.png

(a) Phonon lifetime due to phonon-phonon scattering

../../_images/fig_scat_rates605.png

(b) Phonon scattering rates

Cumulative and spectral thermal conductivity

../../_images/fig_cumu_frequency606.png

(a) Spectral and cumulative thermal conductivity w.r.t frequency

../../_images/fig_cumu_mfp606.png

(b) Spectral and cumulative thermal conductivity w.r.t MFP

Force constants

../../_images/fig_fc3128.png

(a) Force constants w.r.t atomic distance

Summary

../../_images/fig_kappa1185.png

(a) Temperature-dependent lattice thermal conductivity

../../_images/fig_times1460.png

(b) Computation time