mp-961682/TiSnPd/anharm

Harmonic properties

../../_images/fig_bandos_pr976.png

(a) Phonon dispersion with participation ratio and DOS

../../_images/fig_thermo976.png

(b) Thermodynamic properties

Grüneisen parameters

../../_images/fig_gru_all599.png

(a) Grüneisen parameters

../../_images/fig_gruneisen599.png

(b) Phonon dispersion with Grüneisen parameters

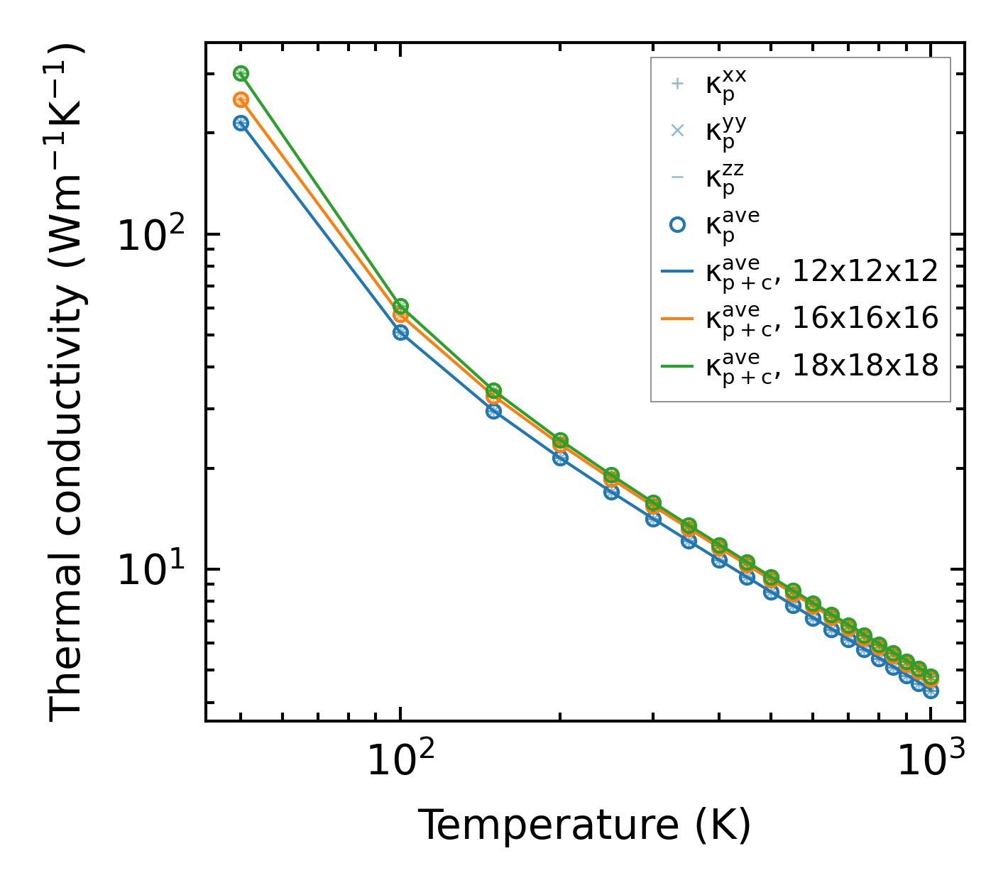
Thermal conductivity

3-phonon — q-mesh: 18x18x18, supercell: 2x2x2

../../_images/fig_kappa1166.png

(a) Temperature-dependent lattice thermal conductivity

../../_images/fig_kappa_vs_grain_size607.png

(b) Peierls lattice thermal conductivity w.r.t grain size

Phonon lifetime and scattering rates

../../_images/fig_lifetime597.png

(a) Phonon lifetime due to phonon-phonon scattering

../../_images/fig_scat_rates596.png

(b) Phonon scattering rates

Cumulative and spectral thermal conductivity

../../_images/fig_cumu_frequency597.png

(a) Spectral and cumulative thermal conductivity w.r.t frequency

../../_images/fig_cumu_mfp597.png

(b) Spectral and cumulative thermal conductivity w.r.t MFP

Force constants

../../_images/fig_fc3120.png

(a) Force constants w.r.t atomic distance

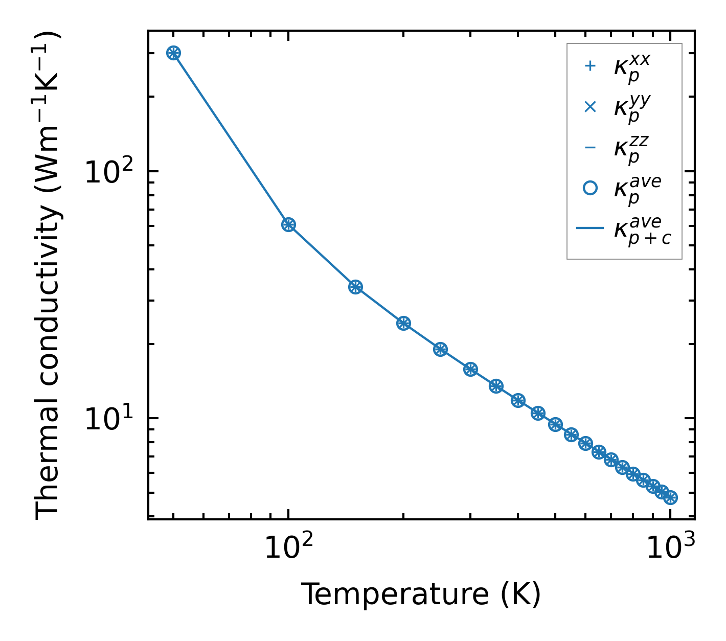
Summary

../../_images/fig_kappa1167.png

(a) Temperature-dependent lattice thermal conductivity

../../_images/fig_times1451.png

(b) Computation time