mp-961663/SrTePd/anharm

Harmonic properties

../../_images/fig_bandos_pr972.png

(a) Phonon dispersion with participation ratio and DOS

../../_images/fig_thermo972.png

(b) Thermodynamic properties

Grüneisen parameters

../../_images/fig_gru_all595.png

(a) Grüneisen parameters

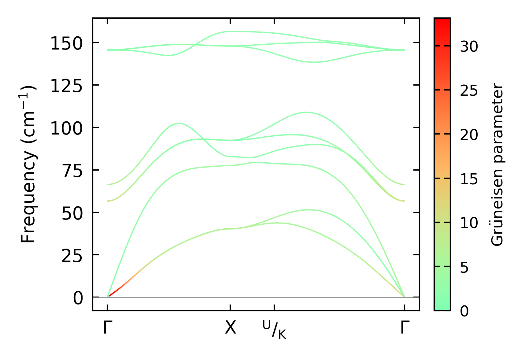
../../_images/fig_gruneisen595.png

(b) Phonon dispersion with Grüneisen parameters

Thermal conductivity

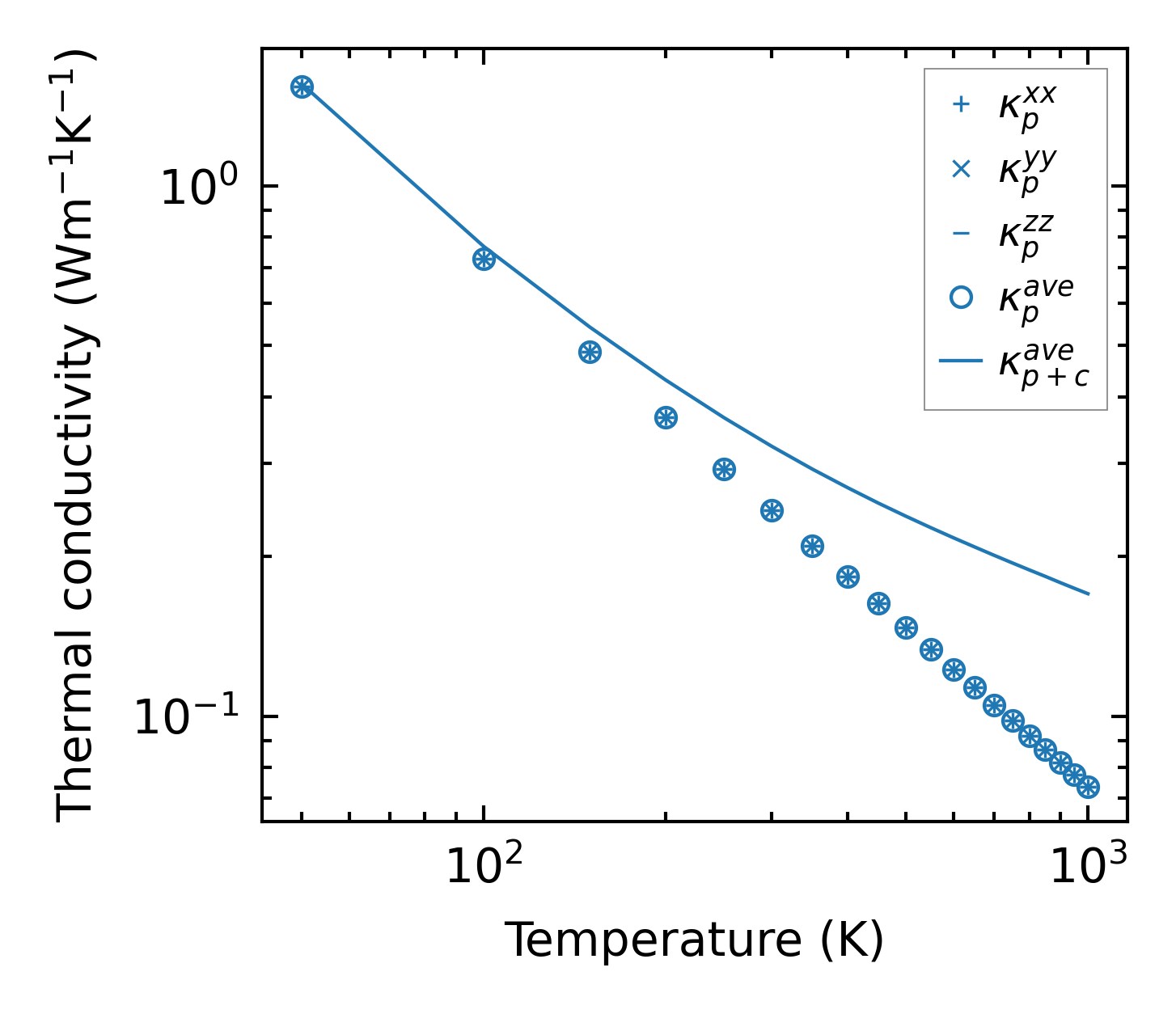
3-phonon — q-mesh: 16x16x16, supercell: 2x2x2

../../_images/fig_kappa1158.png

(a) Temperature-dependent lattice thermal conductivity

../../_images/fig_kappa_vs_grain_size603.png

(b) Peierls lattice thermal conductivity w.r.t grain size

Phonon lifetime and scattering rates

../../_images/fig_lifetime593.png

(a) Phonon lifetime due to phonon-phonon scattering

../../_images/fig_scat_rates592.png

(b) Phonon scattering rates

Cumulative and spectral thermal conductivity

../../_images/fig_cumu_frequency593.png

(a) Spectral and cumulative thermal conductivity w.r.t frequency

../../_images/fig_cumu_mfp593.png

(b) Spectral and cumulative thermal conductivity w.r.t MFP

Force constants

../../_images/fig_fc3116.png

(a) Force constants w.r.t atomic distance

Summary

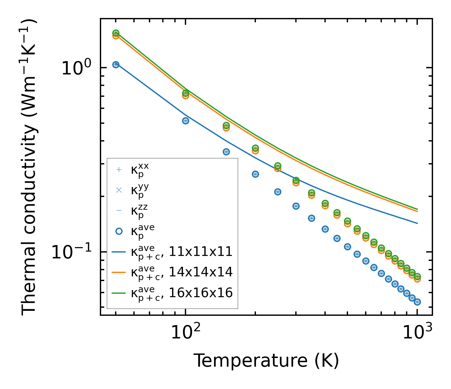
../../_images/fig_kappa1159.png

(a) Temperature-dependent lattice thermal conductivity

../../_images/fig_times1447.png

(b) Computation time