mp-961684/LiCaAs/anharm

Harmonic properties

../../_images/fig_bandos_pr977.png

(a) Phonon dispersion with participation ratio and DOS

../../_images/fig_thermo977.png

(b) Thermodynamic properties

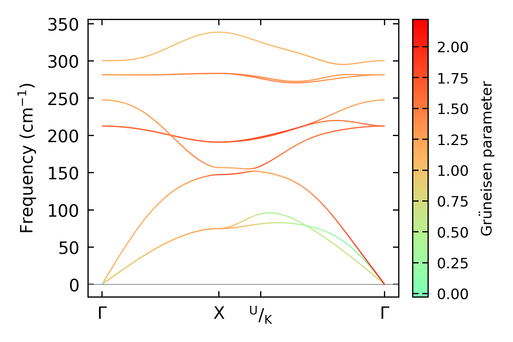
Grüneisen parameters

../../_images/fig_gru_all600.png

(a) Grüneisen parameters

../../_images/fig_gruneisen600.png

(b) Phonon dispersion with Grüneisen parameters

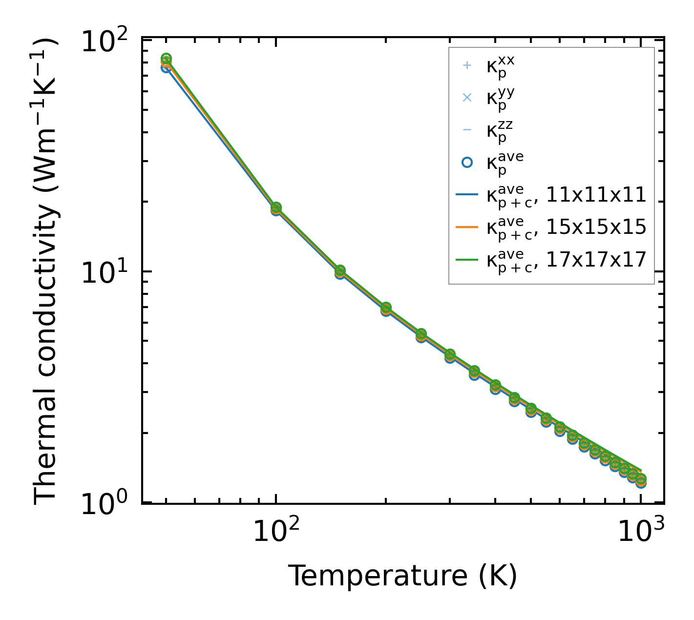
Thermal conductivity

3-phonon (LASSO) — q-mesh: 17x17x17, supercell: 2x2x2

../../_images/fig_kappa1168.png

(a) Temperature-dependent lattice thermal conductivity

../../_images/fig_kappa_vs_grain_size608.png

(b) Peierls lattice thermal conductivity w.r.t grain size

Phonon lifetime and scattering rates

../../_images/fig_lifetime598.png

(a) Phonon lifetime due to phonon-phonon scattering

../../_images/fig_scat_rates597.png

(b) Phonon scattering rates

Cumulative and spectral thermal conductivity

../../_images/fig_cumu_frequency598.png

(a) Spectral and cumulative thermal conductivity w.r.t frequency

../../_images/fig_cumu_mfp598.png

(b) Spectral and cumulative thermal conductivity w.r.t MFP

Force constants

../../_images/fig_fc2856.png

(a) Force constants w.r.t atomic distance

Summary

../../_images/fig_kappa1169.png

(a) Temperature-dependent lattice thermal conductivity

../../_images/fig_times1452.png

(b) Computation time