mp-760697-2/GaH7N2F4/harm

Equation of state

../../_images/fig_bm1250.png

(a) Equation of state

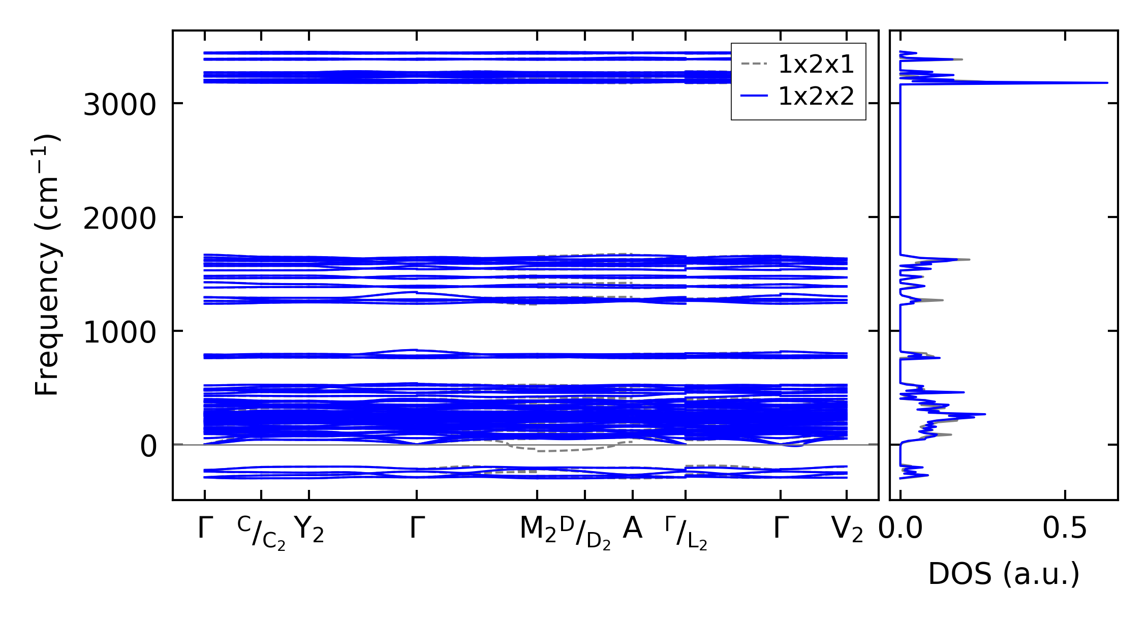
Harmonic properties

../../_images/fig_bandos_pr2926.png

(a) Phonon dispersion with participation ratio and DOS

../../_images/fig_bandos3656.png

(b) Phonon dispersion and DOS

../../_images/fig_thermo2926.png

(c) Thermodynamic properties

Force constants

../../_images/fig_fc22746.png

(a) Force constants w.r.t atomic distance

Summary

../../_images/fig_times4943.png

(a) Computation time