mp-760482-2/F2/anharm

Equation of state

../../_images/fig_bm1238.png

(a) Equation of state

Harmonic properties

../../_images/fig_bandos_pr2907.png

(a) Phonon dispersion with participation ratio and DOS

../../_images/fig_thermo2907.png

(b) Thermodynamic properties

Grüneisen parameters

../../_images/fig_gru_all1424.png

(a) Grüneisen parameters

../../_images/fig_gruneisen1424.png

(b) Phonon dispersion with Grüneisen parameters

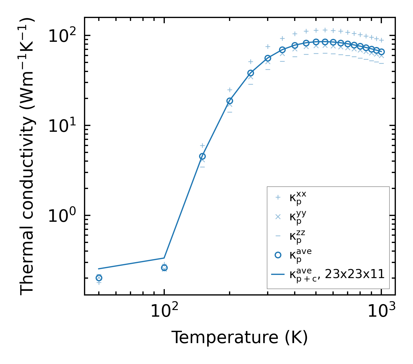
Thermal conductivity

3-phonon (LASSO) — q-mesh: 23x23x11, supercell: 2x4x2

../../_images/fig_kappa2750.png

(a) Temperature-dependent lattice thermal conductivity

../../_images/fig_kappa_vs_grain_size1440.png

(b) Peierls lattice thermal conductivity w.r.t grain size

Phonon lifetime and scattering rates

../../_images/fig_lifetime1414.png

(a) Phonon lifetime due to phonon-phonon scattering

../../_images/fig_scat_rates1413.png

(b) Phonon scattering rates

Cumulative and spectral thermal conductivity

../../_images/fig_cumu_frequency1414.png

(a) Spectral and cumulative thermal conductivity w.r.t frequency

../../_images/fig_cumu_mfp1414.png

(b) Spectral and cumulative thermal conductivity w.r.t MFP

Force constants

../../_images/fig_fc22727.png

(a) Force constants w.r.t atomic distance

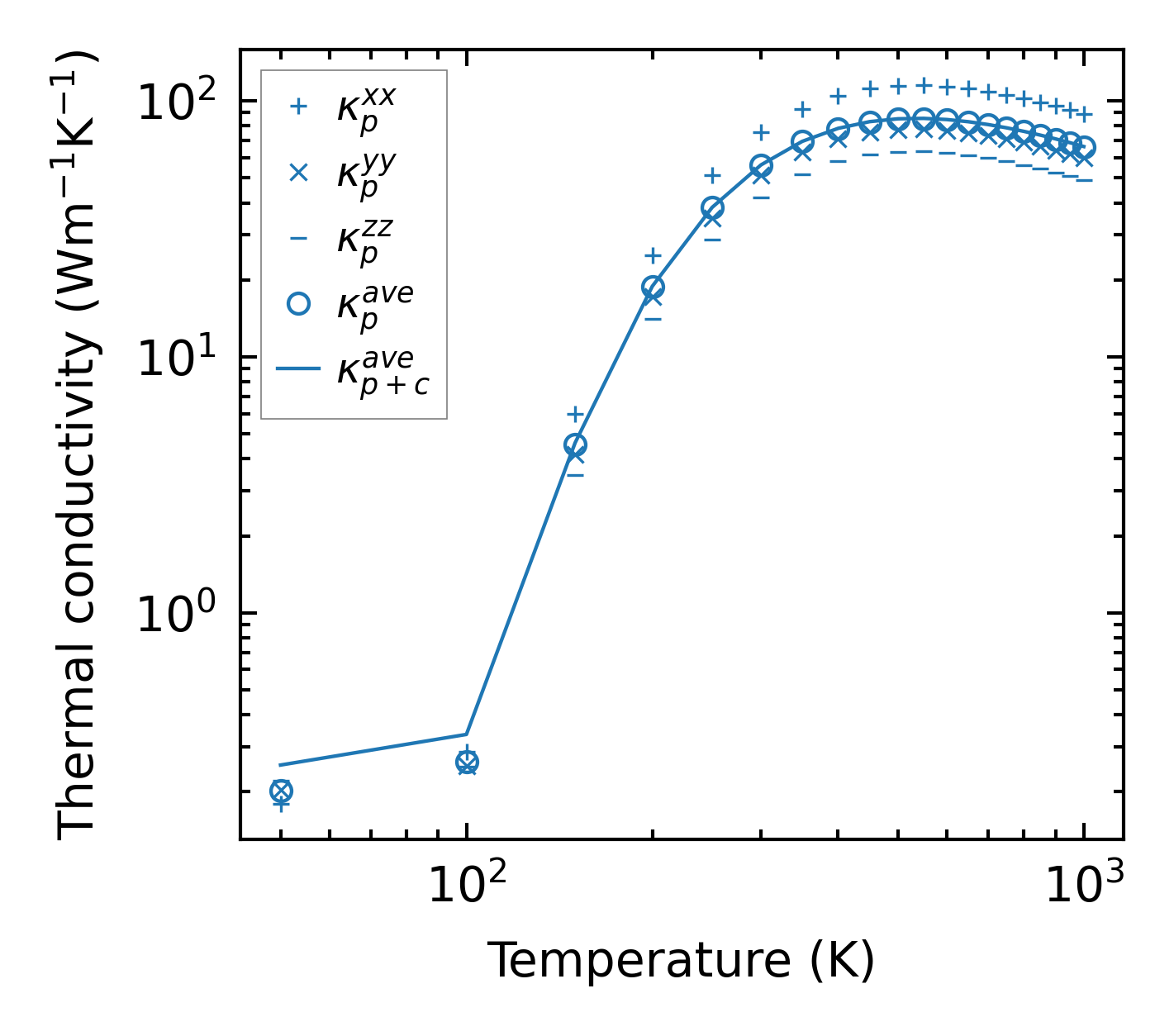
Summary

../../_images/fig_kappa2751.png

(a) Temperature-dependent lattice thermal conductivity

../../_images/fig_times4913.png

(b) Computation time