mp-760228-2/CrOF4/harm

Equation of state

../../_images/fig_bm1222.png

(a) Equation of state

Harmonic properties

../../_images/fig_bandos_pr2875.png

(a) Phonon dispersion with participation ratio and DOS

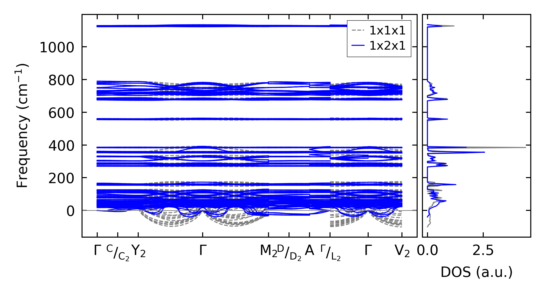
../../_images/fig_bandos3587.png

(b) Phonon dispersion and DOS

../../_images/fig_thermo2875.png

(c) Thermodynamic properties

Force constants

../../_images/fig_fc22696.png

(a) Force constants w.r.t atomic distance

Summary

../../_images/fig_times4861.png

(a) Computation time