mp-760007/Hf3N2O3/anharm

Harmonic properties

../../_images/fig_bandos_pr3109.png

(a) Phonon dispersion with participation ratio and DOS

../../_images/fig_thermo3109.png

(b) Thermodynamic properties

Grüneisen parameters

../../_images/fig_gru_all1463.png

(a) Grüneisen parameters

../../_images/fig_gruneisen1463.png

(b) Phonon dispersion with Grüneisen parameters

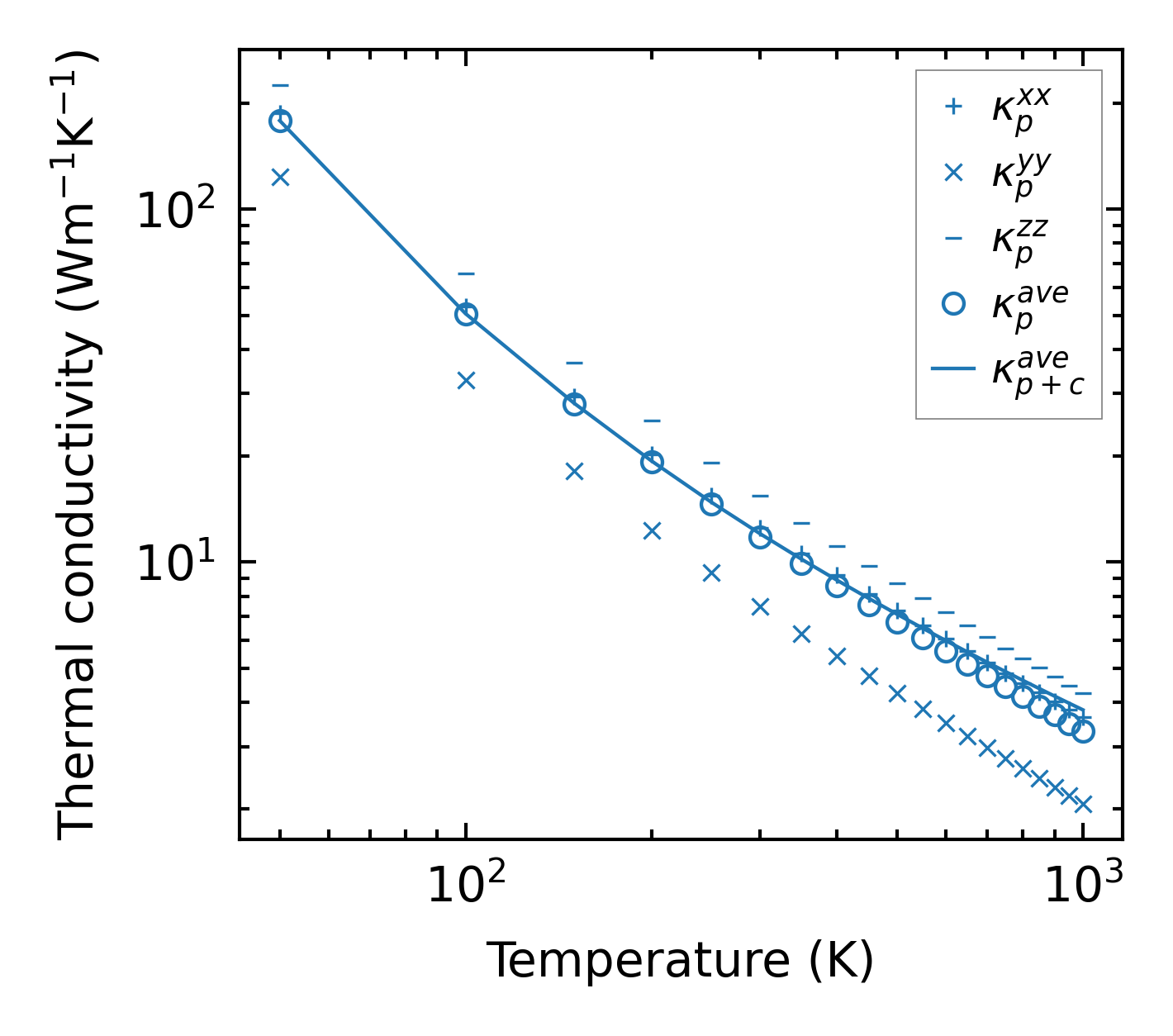
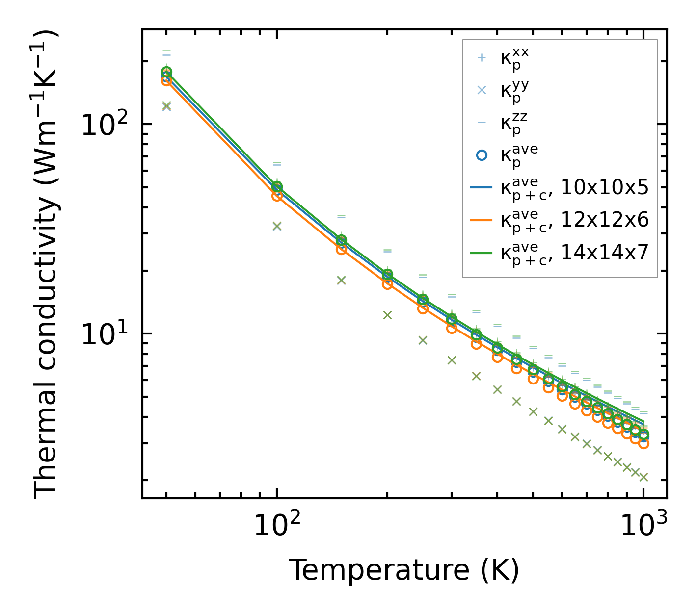
Thermal conductivity

3-phonon (LASSO) — q-mesh: 14x14x7, supercell: 3x1x1

../../_images/fig_kappa2819.png

(a) Temperature-dependent lattice thermal conductivity

../../_images/fig_kappa_vs_grain_size1479.png

(b) Peierls lattice thermal conductivity w.r.t grain size

Phonon lifetime and scattering rates

../../_images/fig_lifetime1453.png

(a) Phonon lifetime due to phonon-phonon scattering

../../_images/fig_scat_rates1452.png

(b) Phonon scattering rates

Cumulative and spectral thermal conductivity

../../_images/fig_cumu_frequency1453.png

(a) Spectral and cumulative thermal conductivity w.r.t frequency

../../_images/fig_cumu_mfp1453.png

(b) Spectral and cumulative thermal conductivity w.r.t MFP

Force constants

../../_images/fig_fc22929.png

(a) Force constants w.r.t atomic distance

Summary

../../_images/fig_kappa2820.png

(a) Temperature-dependent lattice thermal conductivity

../../_images/fig_times5361.png

(b) Computation time