mp-760400/Na5BiO5/anharm

Harmonic properties

../../_images/fig_bandos_pr2889.png

(a) Phonon dispersion with participation ratio and DOS

../../_images/fig_thermo2889.png

(b) Thermodynamic properties

Grüneisen parameters

../../_images/fig_gru_all1418.png

(a) Grüneisen parameters

../../_images/fig_gruneisen1418.png

(b) Phonon dispersion with Grüneisen parameters

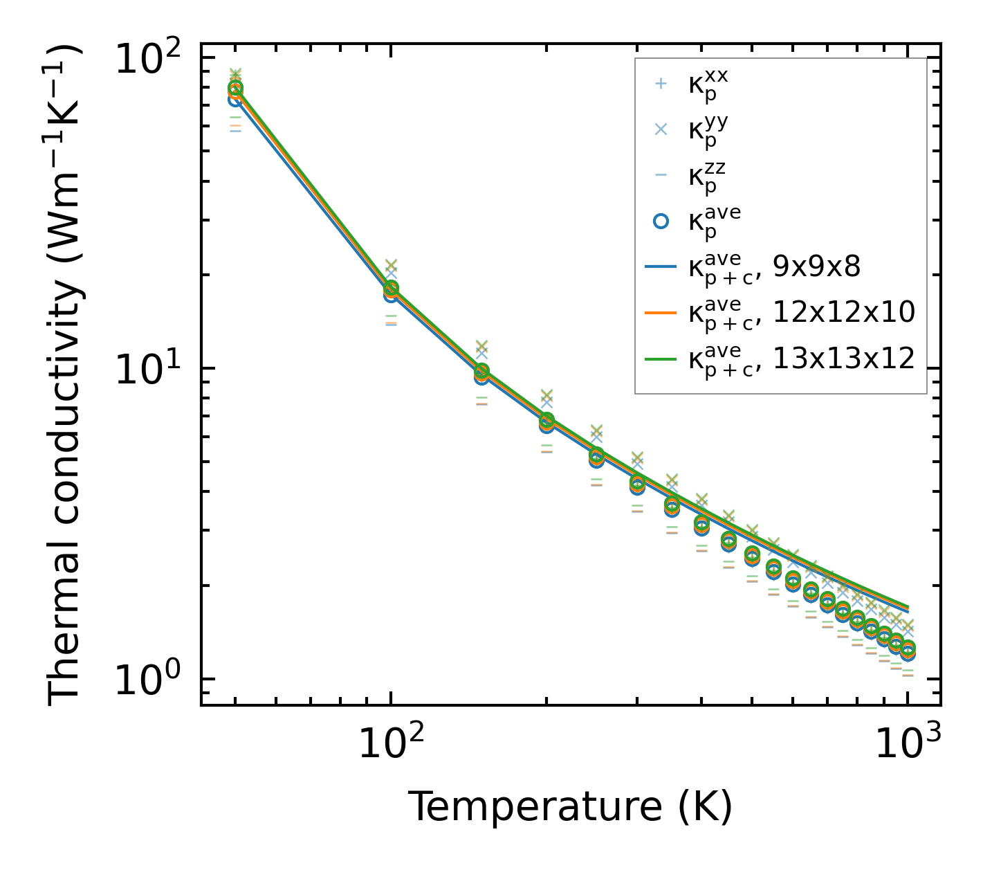
Thermal conductivity

3-phonon (LASSO) — q-mesh: 13x13x12, supercell: 1x3x2

../../_images/fig_kappa2738.png

(a) Temperature-dependent lattice thermal conductivity

../../_images/fig_kappa_vs_grain_size1434.png

(b) Peierls lattice thermal conductivity w.r.t grain size

Phonon lifetime and scattering rates

../../_images/fig_lifetime1408.png

(a) Phonon lifetime due to phonon-phonon scattering

../../_images/fig_scat_rates1407.png

(b) Phonon scattering rates

Cumulative and spectral thermal conductivity

../../_images/fig_cumu_frequency1408.png

(a) Spectral and cumulative thermal conductivity w.r.t frequency

../../_images/fig_cumu_mfp1408.png

(b) Spectral and cumulative thermal conductivity w.r.t MFP

Force constants

../../_images/fig_fc22709.png

(a) Force constants w.r.t atomic distance

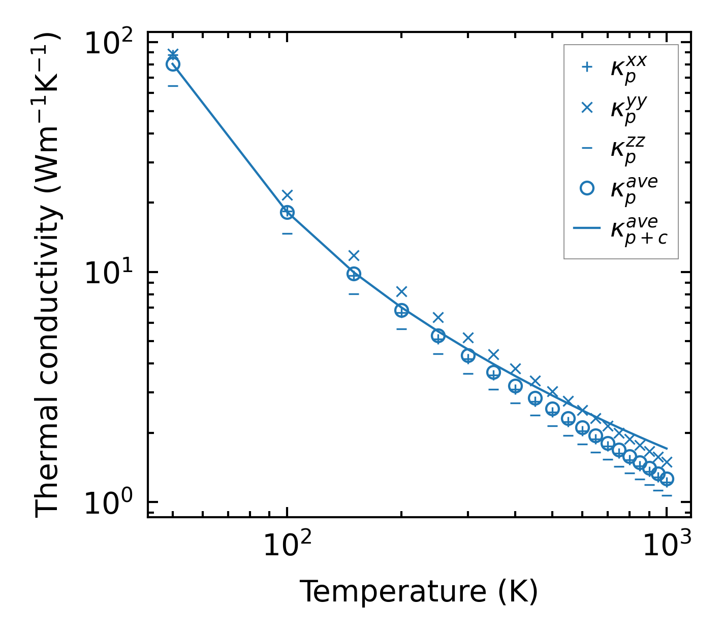
Summary

../../_images/fig_kappa2739.png

(a) Temperature-dependent lattice thermal conductivity

../../_images/fig_times4891.png

(b) Computation time